1、引言
纵向比率制动式差动保护(以下简称纵差或差动保护)是变压器的主保护,它的正确动作与否关系到变压器的安全和经济效益,它的动作速度关系到变压器的安全和电网的稳定。为了防止励磁涌流导致差动保护误动,差动保护常常增加二次谐波闭锁。采用二次谐波闭锁后,对于区内严重故障,受谐波的影响,差动保护往往会延迟动作。对于大容量的变压器,为了保证空投变压器差动保护不误动,往往要降低二次谐波的制动系数(一般为15%),二次谐波制动系数的降低更加延缓了区内严重故障差动保护的动作速度;另外,目前采用双主双后的双重化保护配置,以前用作后备保护的非TYP级互感器也要应用于差动保护,为了提高差动保护的可靠性,差动保护又增加了抗区外故障CT饱和的闭锁逻辑,这进一步延缓了变压器差动保护区内严重故障的动作时间。为了保证区内严重故障时变压器的安全和系统的稳定,必须提高变压器区内严重故障时差动保护的动作速度。
2、差流速断保护在应用中遇到的问题
为了提高变压器内部严重故障时差动保护的动作速度,变压器保护一般要配置差流速断保护。但是,差流速断保护的动作电流按躲过变压器空载合闸时最大的励磁涌流整定,使它在应用中遇到下列问题:
(1 )变压器空载合闸的最大励磁涌流很难获
得,一般按经验值整定,不能保证空投变压器可靠不误动。
(2) 如果定值整定太大,虽然保证了空投变压器可靠不误动,但是又可能在变压器内部严重故障时因差流达不到定值而无法动作,起不到保护作用。
(3 )如果定值整定太小,空投正常变压器可能误动,即使空投变压器可靠不误动,但是区外故障CT饱和时又可能误动作,影响系统的运行。
3、提高差动保护动作速度的方案
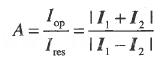
(1)差动保护的动作电流与制动电流的比值为了分析问题简单,把双端以上的变压器都等效为双端系统,并以双端系统为例,分析故障时差动保护中动作电流和制动电流的比值关系。假设EM为送电端,EN为受电端,发生内部故障时,两端的系统阻抗角基本一致。图1为等效的双端系统,图2为发生区内严重故障时两侧电流的矢量图,其中δ为两侧电源之间的夹角,β为等效的系统阻抗角。


按图中的参考方向,差动保护中动作电流与制动电流的比值:
(1)
由式 (I)可知:
1) 区内严重故障时I1、I2的角度差小于90°,此时A>1。
2) 变压器发生匝间故障和区内高阻接地故障时,I1、I2的角度可能大于90°,A<1。
3) 空投正常变压器、空投故障变压器以及
单侧电源故障时A =1。
4) 区外故障及区外故障CT饱和时A<l。
(2)差动保护的快速动作的方案
根据差动保护中动作电流与制动电流的比值A的大小,可以将差动保护的动作区分为三部分,如图3所示。

一区为 A > 1.1 的快速动作区,在该区内差动保护可以不考虑任何闭锁逻辑;二区为A >1的动作区域,在该区内要考虑励磁涌流、TA断线和区外故障 TA饱和的影响;三区为A<1的动作区域,在该区内要考虑励磁涌流、TA断线和区外故障TA饱和的影响。
在原来的差动保护的动作特性的基础上,设置差动 保护的快速动作段,由于A>1.1不需要任何闭锁逻辑,变压器区内严重故障时的差动保护的动作时间由故障电流和采用的算法决定,如果采用快速算法,其典型的动作时间为10 ms左右,达到了快速切除变压器区内严重故障,保证变压器安全和电网稳定。该动作段的动作逻辑如下:

差动保护的快速动作段,不需要用户整定。增加了差动保护的快速动作段后,对于双侧电源的大容量变压器可以考虑不配置差流速断保护,减少了整定计算带来的麻烦。
(3)数模试验结果



数模试验的系统接线示意如图5所示,高压侧为3/2接线,中压侧为双母线,低压侧带电抗器和电容器。
图6纵坐标的电流单位为安培,横坐标为采样点数(一个电流周期内采24点)。图6中黑色为差动保护快速动作段的动作曲线,动作时间为12ms “一一”为差动保护动作线,动作时间为28.5ms。图 7纵坐标的电流单位为安培,横坐标为采样点数(一个电流周期内采24点)。图7中“一一”为差动保护快速动作段的动作线,黑色为差流速断动作线,动作时间为12ms。
区外故障时,由于一侧CT饱和,A相差动电流达到16倍的额定电流,A相差流速断保护动作,而差动保护的快速动作段可靠不动作。
4、结束语
分析了差动保护动作速度慢的主要原因和差流速断保护在应用中遇到的问题,根据分析不同故障时差动保护动作电流与制动电流的关系,提出了一种快速切除变压器内部故障的差动保护动作逻辑,达到了快速切除变压器内部严重故障的目的,保证了变压器的安全运行和电力系统的稳定。在增加了差动保护的快速动作段后,对于多侧电源的大容量变压器可以考虑不配置差流速断保护。
(转载)



