关键词: 配电系统;参数不确定;可靠性;区间评估
1 引言
配电系统可靠性评估常见的方法有:故障模式后果分析法(FMEA),最小路法和网络等值法[1>等。这些方法的计算和分析都是建立在元件可靠性原始参数基础上的,实际中,原始参数可能会因为统计资料不足或统计误差以及对电网未来运行环境预测不足而具有不确定性。此时若再利用不准确的参数对电力系统进行可靠性定量评估,给出一个确切值,显然是不合理的,因其将会导致评估结果与实际情况有较大的偏差。可靠性原始参数可根据其不确定性用一个数值范围区间而不是用一个数值来表示,比如只知道某段线路故障修复要花3~4h,这时参数取值就不是一个数,只有用区间数来表达才恰当。在工程中,当一个问题原始数据不能精确地知道,而只知道其包含在给定范围内或数据本身就是一个区间而非点值时,即可用区间数学来求解问题解的范围或求取区间解[2>。本文在结合区间运算和配网可靠性评估网络等值法的基础上,提出了一种可靠性区间评估方法,并根据实际电力系统的特点采用了一些简化措施,降低了评估的繁杂度,使它能适用于实际配电系统的可靠性分析。
2 区间数和区间运算
将实数域R上所有有界闭区间数的集合记为I(R)。
区间算术运算是封闭的,其代数性质与数运算有所区别,但仍满足加法和乘法的交换律、结合律,为

3 配电系统的可靠性区间评估
3.1 两元件串并联的可靠性区间评估
当元件可靠性参数为区间数时,其串并联可靠性指标计算可转化为如下所示的区间运算:
由于区间除法运算存在“不独立性”问题,若直接用上面公式来计算可靠性区间指标,可能会产生过大或过小的结果,为避免这个问题,必须对上式进行变换,对并联系统![]()
3.2 简单辐射状的配电系统可靠性区间评估与简化
简单辐射状配电系统的典型接线方式如图1所示,先对其进行区间评估与简化[5>。图1虚线框1,2内分别代表负荷支路和分段开关,N/O表示联络开关。简单辐射状配电系统由断路器、若干段主馈线、负荷支路、分段开关、联络线及联络开关构成,在进行可靠性评估时,可以把断路器、各馈线段、分段开关分别看成一个节点,如果把负荷支路也当成串在回路中的一个节点元件,则对该类系统进行可靠性评估时图1可由图2来等效。此时节点间的连线只表示一种连接关系而不带任何属性,系统所有故障均由各节点属性决定,节点属性包括元件故障率,修复率及各种时间区间数,如隔离开关有操作时间区间数等,不同节点具有不同的属性。图2中除了负荷节点区间参数需要等效求取外,其他的都为已知,也即可用串并联系统区间评估公式来求此系统的区间指标。下面对负荷支路进行区间简化。


负荷支路一般由变压器、负荷支路线和熔断器组成。根据其接线特点分2种情况讨论:

是(1)的特殊情况。同时2种情况下负荷支路等效年停电时间和持续停电时间的区间均相同(因有熔断器,但
时等效节点只是故障频率改变而修复时间不变),故2种情况下负荷支路等效参数区间可统一简化为
等效后的负荷支路可当成串在图2中的节点元件来处理,这样简单的辐射状配电系统就表示成了多元件串联系统。在计算负荷点指标时还要考虑其它节点元件(包括其它负荷支路),其等效参数区间的影响计算公式为
式中
分别为负荷点i的故障率、年停电时间、故障修复时间区间指标;
为负荷点j故障时导致负荷点i的停电时间区间。
反映了其它负荷点或节点元件参数对负荷点i的影响且存在关系:当i>j(按图2中的节点顺序号)时,若配电系统末端没有联络开关或i,j间没有分段开关,则
,若存在联络开关且i,j间有分段开关,则
为分段开关操作时间区间;当i
为分段开关操作时间区间,若不存在分段开关,则
;当i=j时,
=0
3.3 复杂配电系统可靠性的区间评估与简化
复杂配电系统(包括带有开关复杂动作的系统)[6,7>的可靠性区间评估仍可采用向上和向下2个等效过程的网络等值法。文[1>、[5>、[8>详细介绍了网络等值法的基本思想和计算过程。而参数不确定的复杂配电系统区间评估关键也在于等效和处理分支馈线,因为只要把它等效成主馈线上的一个节点后,复杂配电系统就变成了简单辐射状的配电系统,就可用简单辐射状系统中的公式来计算区间指标。但由于分支馈线级数较多及区间运算量大,在使用等值法时必须采取必要的区间等值简化。
根据实际电力系统分支馈线的接线特点进行区间等效,可分以下2种情况[5>:
(1)分支馈线首端装设有断路器(一般配网都有)且可靠断开概率区间为
,则分支馈线上有节点元件故障时导致上级馈线停运的概率区间为
,该分支馈线对上级馈线的等效节点故障率区间为分支馈线上所有节点的故障率区间之和与区间概率
的乘积。而如果断路器不断开,由于断路器配套有隔离开关,当分支馈线上元件故障时,上级馈线中反映该分支馈线的等效节点修复时间区间为隔离开关操作时间区间
。
(2)分支馈线首端不设断路器。由于这种情况分支馈线上每个元件故障时都会导致上级馈线停运,在可靠性要求较高的系统特别是在实际的电力系统中分支馈线首端不装设断路器是不可能的。因此对复杂配电系统进行区间等值时,这种情况可以不考虑(如果要考虑,请见附录和文[5>)。
式中
为分支馈线上节点k的等效故障率区间(若为负荷点,则是负荷节点等效故障率区间);
为分支馈线首端断路器可靠断开区间概率;
为分支馈线上与断路器相配套的隔离开关操作时间区间。
简化后的分支馈线等效参数计算公式只是区间的加法和乘法,避免了除法运算,而且在求![]()
时相当简单且正确(因为上述简化是基于实际配电系统接线和运行的特点的)。有了分支馈线的等效参数后,就能够很容易用向上和向下等效的思想来求得负荷及系统的可靠性区间指标。
3.4 配电系统可靠性区间评估的区间指标计算和评估步骤
配电系统可靠性区间评估的指标公式形式上与普通评估的指标公式[9>相同,不同的是:网络等值时计算负荷支路和分支馈线的等效参数使用了本文的公式,指标公式中的变量都是区间数所进行的运算,都是区间运算。为使配电系统可靠性区间指标全面,补充一个计算负荷点停电经济损失区间指标的公式如下:
实际复杂配电系统可靠性区间评估可按下述步骤进行:
(1)对配电系统元件可靠性原始参数进行分析和处理,得到各元件的可靠性原始区间参数。
(2)用本文的公式计算负荷支路和分支馈线的等效可靠性参数。注意为了避免区间运算的阶数,在计算过程中每次只进行2个区间数间的运算。
(3)用向上和向下等效计算可靠性指标的思想来求负荷及系统的可靠性区间指标及停电经济损失区间值。
4 算例计算与分析
参数不确定的配电系统可靠性评估可把参数看成区间数,利用区间评估来进行分析。
例1 图3为IEEE RBTS BUS5的主馈线F1,它是简单的多元件串联系统,图中a、b、c、d为主馈线段(内含开关元件未画出),假定它们的可靠性参数
分别为[0.0250, 0.0750>、[0.0325, 0.0975>、[0.0325, 0.0975>、[0.0400, 0.1200>,次/年;
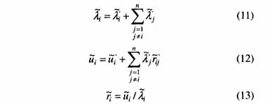
均为[2, 8>, h/次;联络开关倒闸时间区间为[0.5, 1.0>,h;分段开关操作时间区间为[0.3, 0.5>,h,并设只在主馈线段b、c、d的首端,a、c的末端装设分段开关,系统设有联络开关。以负荷点LP4为例,用式(11)~(16)计算负荷点的区间指标。

(1)求负荷支路的等效参数区间
已知负荷支路LP4的变压器参数
(2)计算负荷点LP4的区间指标
用式(11)~(13)计算得
它过大地评估了负荷点LP4的可靠性指标。例2 对IEEE RBTS母线6配电系统[9>进行区间评估。如图4主馈线F4带有三条分支馈线F5,F6,F7,元件可靠性原始参数引自文[9>,区间评估过程如下:
1)元件可靠性原始参数的处理:认为系统中所有元件故障率和修复时间有50%的统计误差,断路器可靠动作概率区间为[0.8, 1.0>,熔断器可靠熔断概率区间为1(点区间),分段开关和隔离开关的操作时间区间均为[10,30>,min,点值为20,min。负荷点所带的负荷区间为原有负荷峰值p0基础上选取[0.85 p0,1.15 p0>。负荷点单位停电经济损失区间值由将原始停电经济损失值作为区间端点值得到,如停电1h、4h的经济损失分别为3元/kW、80元/kW,则停电在1~4h的经济损失区间值为[3,80>,元/kW。表1、2为经过处理后的元件可靠性区间参数及负荷停电经济损失。

2)可靠性区间评估:根据评估步骤对主馈线F4上的3条分支馈线进行网络等值,所得的区间结果如表3所示。表中点值和区间值分别为用与不用区间评估得到的结果。
从表3中可看到,所有点值都落在区间值内,但不同的是:区间值能反映出当参数在一定范围内变化时,可靠性指标变化的区间范围,因此只要参数变化不超过预定的范围,可靠性指标也不会超过所得的区间,故可不进行多次点值评估,以减少计算量,且区间评估结果比点值评估结果更符合工程实际,包含的信息量更大。总之区间评估可很方便地计及参数不确定对可靠性指标的影响并进行参数灵敏度分析。从表中数据还可看出,分支馈线向上等效的年持续停电时间区间值和点值相同,都等于断路器配套隔离开关操作时间(因3个分支馈线首端都装设了断路器),而向下等效的年持续停电时间不同,其原因是向下等效的指标是除本身外其他馈线(包括主馈线)对该馈线的等效参数,不同分支馈线受主馈线影响不同,因而等效参数也不同。表4、5为通过向上和向下计算可靠性指标求得的部分负荷点及系统的区间指标和停电经济损失。





5 结论
(1)采用区间算法对配电系统可靠系统性评估时可靠性原始参数的不确定性进行了考虑,更好地反映了系统可靠性的真实程度。
(2)针对实际复杂配电系统,采用一定的网络区间等值简化,降低了评估的繁杂度,该简化方法能用于实际系统的可靠性评估。
(3)区间评估模型综合考虑了各元件及负荷支路区间参数对指标的相互影响,可方便地只通过一次区间评估求解出参数在任意区间段内变化时指标的范围,具有一定的理论意义和工程实用价值。
(转载)



