一、前言
柴油机是机—电—液等各种子系统组成的复杂机电设备,利用现代测试技术、信息处理技术、计算机技术和人工智能技术以及故障诊断技术对其进行不解体测试与诊断,准确确定柴油机发生故障的位置与类型,不仅可以减少人力、物力上损失,而且能使更多的维修人员具有该领域专家的分析判断柴油机故障的水平[1-2]。因此,把柴油机领域专家诊断故障的经验输入计算机存储,并在其运行过程中模拟专家思维进行诊断分析,只须一般操作人员操作,就可以对柴油机作出专家水准的诊断。以知识获取、知识表示和知识推理[3-4]为基础,将该专业领域专家经验表示成知识并建立知识库,是研究开发柴油机故障诊断专家系统的关键因素。
二、柴油机故障诊断知识获取
柴油机故障诊断所需要的专业知识基础可以从专业著作、相关资料中得到,还可以同长期从事该专业领域的专家们对话或从专家们以往处理问题的实例中抽取专家知识选择合适的形式把整理好的专家知识存入知识库中。
(一)故障诊断知识特点
柴油机故障诊断专家系统需要的知识分为:用于故障诊断的知识;用于故障原因分析的知识和用于消除故障的知识。因此,在故障诊断专家系统中,应依据知识的特点来选择知识表示方式,而知识推理技术同知识表示方法有密切关系[5-8]。柴油机故障诊断专家系统的知识具有鲜明的领域特点,对知识运用的实时性要求很高,即知识的表达方式和组织方式必须有利于实现快速推理。此外,运行状态的动态特性要求知识库要具有自学习功能。
(二)柴油机故障分析
一个系统中所有可能发生的各种故障原因可以用具有一个欧氏向量S表示的集合,将柴油机的典型故障类型写成集合形式,称为柴油机故障类型集(简称故障集)

式中Si为一种故障类型,n为系统故障种类的总数。
同样,由于这些故障原因所引起的各种症状,如温度的变化、压力的波动、角度的变化等也能被定义为一个集合,并用一个欧氏向量X表示

式中Xi 为一种症状,m为系统症状种类的总数。
在柴油机运行过程中,可能出现“起动困难”、“功率不足”、“燃油消耗大”等典型故障。作为诊断柴油机的前提,运行状态参数的取值是连续的,这些参数对规则结论(故障状态)的影响程度没有一个明显的界限。为保证柴油机参数监测与诊断的合理性和指导的可靠性,必须对这种动态特性及其测量的不确定性进行合理考察和描述。在广泛搜集和听取柴油机领域专家经验的基础上,结合柴油机的理论知识与运行环境的实际情况,得到图1所示的柴油机典型故障与相应症状的联系。

(三)运行状态参数模糊处理
采用隶属函数和相关分析的方法进行运行状态参数模糊处理,即不确定性知识的量化处理。
定义如下两种隶属函数。
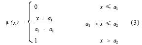
(1)升型 即当参数取值越大时,参数对故障状态的影响程度越大

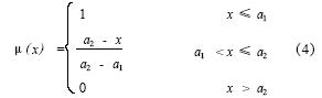
(2)降型 即当参数取值越大时,参数对故障状态的影响程度越小

式(3)、式(4)中x为参数值;a1、a2分别为柴油机专家提供的该参数的阈值。
还可根据需要扩充实用隶属函数,并不断修正各运行参数。同一种参数对柴油机不同故障类型的影响方式不同,应采取不同的隶属函数。
三、故障诊断专家系统综合型知识表示
故障诊断专家系统的知识分为运行状态参数数据、事实、诊断型知识和元知识等四类。
(一)运行状态参数数据
运行状态参数数据可以用谓词逻辑表示为谓词名(对象,<时间,>数值),其中〈⋯〉为可选项,有时间因素的数据可选此项。例如:“10min前柴机转速1500r/min”表示为data before(“柴油机的转速”,10,1500)。
(二)事实
用模糊谓词描述含有模糊信息的事实,模糊谓词逻辑用四元组表示为谓词名(对象,属性,模糊值,隶属度)例如事实:“机油温度太高,隶属度0.95”,表示为Fact(“机油”,“温度”,“太高”,0195)。
(三)诊断型知识
诊断型知识采用产生式规则表示,最初形式为IF规则条件部分(条件1,条件2, ⋯,条件n)。
THEN结论
运行状态故障诊断知识的模糊性十分显著,为了恰当描述这种模糊性,必须对产生式规则加以改进。例如“喷油泵损坏”的故障症状集为F油泵损坏= {(柴油机冒黑烟,0.5), (柴油机功率过小,0.3),(废气温度低,0.2)}可用产生式规则表示为IF (柴油机冒黑烟, 0.5 ) and(柴油机功率过小,0.3)and(废气温度低,0.2)THEN喷油泵损坏(Rcf)式中Rcf为规则强度,描述规则的前提条件对结论的支持程度,0 < Rcf≤1。
为了描述规则的模糊性,还需给规则设一个应用阈值,记为τ,0 <τ≤1。在推理中,只有当产生的规则实例的前提条件部分的整体真度不小于应用阈值,此规则才得以激活。Rcf和τ的值由经验确定。不失一般性,改进后的模糊产生式规则形式为IF(Y1,W1)and (Y2,W2)and⋯and(Yj,Wj)and⋯and(Yn,Wn)THEN T(Rcf,τ)式中Yj(j = 1,2, ⋯,n)、T为模糊谓词;Wj(j = 1,2,⋯,n)为权值,描述规则前提条件中每个因素对规则结论的影响程度,且满足 。改进后的产生式规则把知识的模糊性全面表达出来。
规则前提条件的每一个条件项(Yj,Wj)描述一个事实,在推理过程中,原始事实即初始参数表征的事实,其真度即参数模糊化的隶属度;一条规则被触发,加入推理链,则此规则的结论部分又成为新的事实,去匹配其它规则的条件部分,出现的新事实即非原始事实,非原始事实的真度由不精确推理获得。改进后的规则在系统内部的表示通式为Rule ( RGNO,RNO,CondList,Condweight,Conc2NO,Rcf,τ,Tag)式中RGNO为规则组号,正整数,要求编号不重叠,按规则的用途不同分组;RNO 为规则编号,正整数,不重叠,按规则强度由大到小排序;CondList为条件序号表,条件序号为正整数,条件表形如:“(Cond2NO1,CondNO2, ⋯,CondNOn)”;Condweight为与条件表对应的权值表,项数与条件表相同;ConcNO为结论号,正整数,编号不重叠;如果规则的结论不再作为其它规则的前提条件,则该规则为含有最终结果的规则,Tag 值为1,系统的正向推理结束,得出结论,其它规则的Tag值为0。
柴油机状态参数是连续动态变化的,且存在大量的随机干扰,这种与时间相关的性质除了变动趋势以外,还有其值延续的时间长短和连续性。为了表达它的延续时间和连续性,将时间因素引入一阶谓词逻辑,产生时序关系谓词:(1)Delay(n)当且仅当参数延迟n个单位时间时为真;(2)Begin(P,t)当且仅当参数P在t时刻发生时为真;(3)End(P,t)当且仅当参数P在t时刻结束时为真;(4)Last(P,t)当且仅当参数P延续n个单位时间时为真;(5)Appear(P1,t,P2)当且仅当参数P1 发生,经过n个单位时间后,P2才发生时为真;(6)Intr(P,t)当且仅当突发事件(如柴油机因故障而停止、柴油机水温报警、柴油机机油温度报警)在时刻t发生时为真。
例如,一个表示规则为
IF柴油机水温测定值超过正常值 10℃and持续10min
THEN显示“柴油机水温故障”的时序关系为
If Last {“TICNO03 _ >(TICN003 _ t 10) ”,10min}
Then Show (D iagnosis face“柴油机水温异常”)
式中条件Last{“TICNO03 _ > ( TICNO03 _ t 10) ”,10min}当采样值在10min 内都大于设定正常值10℃时,其真度为1,否则为0。
(四)元知识
元知识是关于知识的知识,在产生式系统中,它一般采用与目标层次知识相同的表示形式,并作为一个知识实体与目标层次知识共存于知识库中,其主要优点在于:(1)元级推理与目标层次推理可共享一个推理机;(2)当元规则与目标规则由当前数据库内容确定为可用规则时,将优先执行元规则;(3)当系统分设目标层次规则库和元级规则库,系统还将增加一个调度程序;(4)当有多个目标规则可用时,由调度程序根据元级规则与可用目标规则冲突集的匹配情况,从中选择一条可用规则执行。
四、故障诊断专家系统知识库组成及应用
(一)知识库组织
知识库采用多库结构的组织模式,包括数据库、事实库和规则库。这样可以提高系统工作效率,也便于知识的搜索。各库之间相互独立,一个库的修改不会影响其它库。知识库的结构如图2所示。

为了缩小搜索范围、提高推理速度,将诊断规则库中的规则分成3组:故障诊断规则组、故障原因分析规则组和故障消除措施规则组,表达形式如下。
(1)故障诊断规则组:[数据,事实]→故障类型;
(2)故障原因分析规则组:[事实,故障类型]→故障原因;
(3)故障消除措施规则组:[事实,故障类型,故障原因]→故障消除指导。
同一组的规则为一层,故障诊断规则组层次最高,故障原因分析规则组层次次之,故障消除措施规则组层次最低。对同一组中的规则按优先级排序编号,排列的原则是:规则前提条件部分包含元素多的优先排列;元素数量相同,规则强度大的优先排列;规则强度相同,但问题出现概率大的优先排列。
(二)知识修改与扩充
柴油机专家系统知识库的建造是一个长时间反复测试、修改和扩充的过程。当系统出现以下2种情况时,启动系统的知识修改与扩充功能:(1)当从现有知识出发无法诊断故障、给出原因分析和故障消除措施时,系统应主动向专家求助来补充缺少的知识;(2)当诊断、原因分析和故障消除措施有误时,系统应允许专家修改现有知识库,更正存在缺陷的知识。
(三)应用效果
采用故障诊断专家系统对某柴油机近两年以来的多个典型故障进行了实例考核,其部分诊断结论如表1。该专家系统诊断的决策报告与实际检修情况基本相符,说明所建立的知识库是成功的,系统已具备了较高的诊断能力,通过进一步的完善修改,可望开发成实用的故障诊断专家系统。

五、结论
采用综合型知识表达方式来表达故障诊断知识,用改进的模糊产生式规则表达诊断型知识,用时序逻辑表达与时间有关的知识以及采用过程表示法来表达元知识,知识库采用多库多层次的组织方式,缩小了搜索空间,为实现高效快速的推理与诊断奠定了基础,根据实际使用情况,不断扩充新的知识,删除无用的知识,修改有错误的知识,逐步提高知识库的质量和系统的水平,可完善柴油机故障诊断专家系统。
参考文献
[1]鄂加强,龚金科,王耀南,等. 特种车辆柴油发动机故障诊断专家系统推理机设[J]湖南大学学报(自然科学版). 2005,32(5):46 - 51.
[2]鄂加强,龚金科,王耀南,等.特种车辆柴油发动机故障诊断专家系统实现问题[ J ]. 应用基础与工程科学学报,2005,13(4):373 - 380.
[3]王永庆. 人工智能原理与方法[M ].西安:西安交通大学出版社,2000:53 - 155.
[4]俞瑞钊,史济建.人工智能原理与技术[M ].杭州:浙江大学出版社,1998:247 - 274.
[5] 罗智中,司徒忠,彭细正. 车辆发动机故障诊断专家系统的模糊化研究[ J ]. 农业机械学报,1999,30(6):97 - 101.
[6] 侯立华,朱小燕,王信义. 模糊推理算法在FMS故障诊断与维修系统中的应用[ J ]. 北京理工大学学报,2000,20(3):281 -285.
[7] Chen Shyi2Ming, HsiaoWen2Hoar. Bidifectional Approximate Reasoning for Rulebased Systems Using Interval2valued Fuzzy Sets[ J ]. Fuzzy Sets and Systems, 2000, 113: 185 - 203.
[8] Setnes M, van Nauta Lemke H R, Kaymak U. Fuzzy Arithmeticbased Interpolative Reasoning for Nonlinear Dynamic Fuzzy Systems[ J ]. Engineering Applications of Artificial Intelligence, 1998, 11:781 - 789.



