选择光传感器的考虑因素
通常有几种方法能够对光进行检测,例如通过使用光电晶体管、光敏电阻或光电二极管来实现,但对于当今应用的总的光感要求而言,基于IC的单片光电二极管是最好的选择之一。光电二极管是用于探测光并生成电流的半导体,它基于单晶硅片构造而成,与用于生产集成电路的晶体硅片类似。一个典型的传感器应用框架图包括一个光电二极管、一个电流放大器和一个无源低通滤波器,以检测并处理光输入引起的输出电压信号。能够将所有这些器件集成并采用小型封装对于终端用户而言是非常有益的,而且这恰恰就是当前的市场需求。
为应用选择适当光传感器时的另一个重要方面,是要理解对于应用而言,哪项重要规格是最为关键的,最需要关注哪一项。一般来说,在选择一个光传感器时,需要着重考虑的因素如下:
光谱响应/IR抑制:环境光传感器应该仅对400nm至700nm的范围有感应。
Lux的最大范围:直射阳光可以多达130,000Lux,但是大多数应用要求最大范围为仅为10,000Lux。
低Lux光敏度:根据光传感器位于顶端的镜片的类别,光衰减可以为25-50%。如果低光敏度非常关键(<5Lux),必须注意选择可以在这个范围内工作的光传感器。
集成的信号调节(即放大器和ADC):一些传感器可能提供非常小的封装,但是却需要一个外部放大器或无源元件来获取所需的输出信号。具有更高集成性的光传感器省去了对于外部元件(ADC、放大器、电阻器、电容器等)的需求。
功耗:对于要承受高Lux级(>10,000Lux)的光传感器来说,最好采用一个非线性光到模拟输出光传感器,或一个光到数字输出的光传感器。接下来还将对此进行详细说明。
封装大小:对于大多数应用来说,封装都是越小越好。现在可提供的封装为2.0mm×2.1mm光学DFN,而1.3mm×1.5mm 4lead封装则是下一代封装。
一旦确定了上述重要规格,需要考虑的下一个问题就是哪类输出信号最有助于目标应用。对于大多数光传感器,最常见的输出为线性输出电流。虽然这适用于一些应用,但现在有更多的可选项,其中包括线性电压输出、数字输出(通过I2C接口)或者非线性电流或电压输出。每种都具有它们的优势,如下所列。
线性模拟输出——电流或电压输出:更常见的感应器输出,快速响应时间(数字输出受限于积分时间),在控制器中集成ADC转换器,电压输出省去了对于外加电阻(将电流转换为电压)的需要并提供一个低阻抗输出。电流输出需要在输出添加无源元件来将电流转换为电压、设置传感器的增益范围并根据需要增加低通或高通滤波器。
非线性模拟输出——电流或电压输出:允许极弱光敏感度和最大动态范围(高达100 ,000Lux),感测光与人类察觉光的方式更加类似(非线性与线性),电压或电流非线性输出的选择,电压输出为低阻抗而电流输出为高阻抗。
数字输出:输出可以直接与控制器相连接(无需ADC),数字输出本身比模拟输出更具有噪声免疫性,允许传感器具有更多的数字功能(即更加智能的光传感器),更易于在通用I2C总线上的网络工作,更易于允许将多个光传感器置于同一个I2C总线上(地址选择引脚),恒定功耗(模拟输出电路损耗与入射光密度成正比)。
为更好地理解这些传感器的构造,让我们更加仔细地观察模拟和数字输出传感器的架构。首先讨论的传感器是Intersil公司的EL7900线性输出电流感应器。
EL7900集成了PIN型光电二极管与电流镜增益级功能,用于一个线性度运行高达10,000Lux的光传感器。动态范围与敏感度可以通过输出上的一个负载阻抗(接地)很容易地进行调节。选择一个更低阻值的电阻器将提供更宽的动态范围,但是却需要以弱光敏感度为代价。另一方面,选择一个更高阻值的电阻器会提供增强的弱光敏感度,但却要以牺牲动态范围为代价。因此,这种选择完全取决于终端用户的应用以及他们是需要更低的光敏度还是更大的动态范围。
为更好地理解采用一个光-数字光传感器的益处和性能,下面将讨论Intersil公司的ISL29003和ISL29004,如图1所示。

图1:Intersil公司的ISL29003和ISL29004光传感器。
图中可以清晰地看到通过采用一个更为复杂的数字输出光传感器可帮助实现的功能。首先,这个器件(ISL29003)仍适用于非常紧凑的2mm×2.1mm光学DFN封装(ISL29004,带有两个用于地址选择的附加引脚,适用3mm×3mm 8LD光学DFN封装)。除了具有集成了一个16位ADC和采有一个数字I2C输出的优势外,ISL29003也支持增益选择(通过I2C软件)和积分时间控制。增益选择功能非常实用,例如,如果需要极高的光敏度,那么可以很简单的通过I2C发送一个命令来将增益设置到增益1,从而提供前所未有的每Lux 65次计数(每Lux 65次或每0.1Lux 6.5次)。如果动态范围更加重要,则可以将增益选项变更为4,那么传感器的动态范围就可以达到64,000Lux。这个特点以及中断引脚(报警引脚)就是环境光传感器的主要优点,能够为终端用户提供很大的优势。
光敏件的选择完全取决于终端客户,但是数字光传感器的方法正不断获得好评,这是因为其具有性能和灵活性的优势(特别是对于汽车应用而言),它们需要采用I2C数字输出信号(更低的噪声,可以在相同的总线上网络覆盖数个传感器,对于敏感特性进行更好的控制,并实现更好的总体传感性能)。
在选择适当的光传感器时的另一个考虑因素是选择一个带有理想光谱响应的传感器。普通PIN光电二极管(无源或者有源)本身具有非常宽的光谱响应范围,包括IR射线乃至UV射线。
从理论上来说,用户需要选择一个仅能感应可见光(380nm至770nm)并削弱无用的IR信号的光传感器,如下图深青色线所表示的(ISL29003光谱响应)
这些要求如何在一个实际的应用中实现呢?让我们看一看环境光传感器是如何在一个自动的白光LED背光控制电路中工作的,在汽车背光应用中通常可以看到这种控制电路。

图2:采用了光传感器的白光LED背光控制电路。
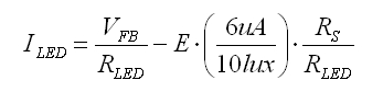
在该电路中(图2),LED由白光LED驱动器(EL7630)所传送的恒定电流来驱动。随着环境光的增加,EL7900光传感器将更多的电流注入到白光LED驱动器的反馈端;在明亮的环境里,光传感器注入更多电流到反馈端,因此,它减少了白光LED的输出电流和输出光密度。环境光密度和白光LED输出电流的关系图如下所示:

光传感器的输出电流由Iout = E (6uA/10Lux)来表示。
光传感器在汽车中的应用
上文已经谈论了光传感器的基础,下面将探讨采用光敏感传感器的市场及应用。从便携式消费类市场(智能电话、PDA、台式计、便携式音乐播放器等等)到消费类电视机市场(TFT-LCD、等离子、尾部投影、CRT等等),再到医疗、工业及汽车市场,光传感器可谓无所不在。
在汽车环境中,主要的应用如下:车载娱乐/导航/DVD系统背光控制,以便在所有的环境光条件下都可以显示出理想的背光亮度;后座娱乐用显示器背光控制;仪表组背光控制(速度计/转速计);自动后视镜亮度控制(通常要求两个传感器,一个是前向的,一个是后向的);自动前大灯和雨水感应控制(专用,根据需求进行变化);后视相机控制(专用,根据需求进行变化)。
光传感器在提供更舒适的显示质量方面已经成为最有效的解决方案之一,它具有与人眼相似的特性,这对于汽车应用而言至关重要,因为这些应用要求在所有环境光条件下都能达到完全的背光效果。例如,在白天,用户需要最大的亮度来实现最佳的可见度,但是这种亮度在对于夜间条件而言则是过亮的,因此带有良好光谱响应(良好的IR衰减)的光传感器、适当的动态范围和整体的良好输出信号调节可以很容易地自动完成这些应用。现在终端用户可以设置几个阈值水平(如低、中、亮光),或能够随意地动态地改变传感器的背光亮度。
这也适用于汽车后视镜亮度控制,当镜子变暗和/或变亮时需要智能的亮度管理,可以通过环境光传感器来完成。
对于便携式应用,如果用户不改变系统设置(通常是亮度控制),那么一个显示器总是消耗同样多的能量。在室外等特别亮的区域,用户倾向于提高显示器的亮度,这就会增加系统的功耗。而当条件变化时,如进入建筑物,大多数用户都不会去改变设置,因此系统功耗仍然保持很高。但是,通过使用一个光传感器,系统能够自动检测条件变化并调节设置,以保证显示器处于最佳的亮度,进而降低总功耗。在一般的消费类应用中,这也能够延长电池寿命。对于移动电话、笔计本电脑、PAD和数码相机,通过采用环境光传感器反馈,可以自动进行亮度控制,从而延长了电池寿命。
感应环境光并不是一个新的构想。在数十年前就已经利用光电二极管和光敏电阻来实现这一构想。所谓新构想,是指对环境光感应的同时还能消减无用的红外线和紫外线光,而且在支持汽车规格AECQ-1000严格要求的同时还可以实现小封装,尤其是能够保证在-40摄氏度至 +105摄氏度(2级)温度范围内的操作,以满足其余的规格要求。如何保持工作质量标准并满足AECQ-1000的2级工作要求,这是当今在所有光设计解决方案中所面临的挑战。采用一个光传感器或LED发射器或接收器时,任何的光学解决方案都会面临着暴露在恒定高温下(>+85摄氏度)而出现的封装变色问题(会变暗或变成淡黄)。同样值得一提的是,到目前为止,所有环境光传感器的应用都限于车舱内,在发动机舱或户外环境中还没有出现光传感器应用。事实上,即使出现了这样的应用,光封装也不是针对这样的苛刻条件(+125或+150摄氏度的条件)而设计,因此,在当前的光学封装技术下,它们很可能还不能够承受这样的条件。但如果汽车市场确定了在汽车发动机舱内对于光传感器的需求,相信光传感器厂商定会想出办法加以支持。
本文小结
半导体相似传感器和封装开发的最新进展使得终端用户在光传感器上具有了更广泛的选择。小封装、低功耗、高集成和简单易用性是设计者更多地采用光传感器的原因,其应用范围涉及消费类电子、工业应用以及汽车领域。
(转载)



