文献资料表明:红外温度记录法是研究材料热性质的一项非常有效的非接触式的方法。这种方法的可能性得到了广泛的研究;另有报道,用扫描式热视相机检测轮胎的温度分布变化图;此外,一种很有意思的快速方法已成功用在金属样品热性质的测试上。文中列出了测定的结果。然而这种方法并非绝对的无接触式。
热参数的接触式测量方法大多数需要相对复杂的电子设备。现在的工作采用这一设备作为测定热导率λ(单位W/m·K)和扩散系数α(m2/s)的参考。
本工作中提出以一次测量为基础,全自动、完全非接触地测定热容、热扩散系数和热导率的方法。该方法适合用于测量热导率很小的材料的热性质,例如橡胶混合物。
![]() |
理论依据
该理论以非稳态热传输的傅立叶方程开始, 形式如下:
T/ t =α 2T (1)
这里,T是绝对温度,α(m2s-1)是热扩散系数。在稳态情况下,傅立叶方程的形式为:
2T - 0 (2)
对热导率λ(W/m·k), 我们可以写出很有名的方程:
α=λ/pc (3)
这里,p (kgm-3)是样品的密度,而c (Jkg-1K-1)是比热。
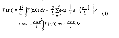
基于这些基础知识,我们提出描述绝热固体内任意时刻温度分布的函数。该函数具有以下的形式:
由这一方程,根据样品的厚度L推导出确定热扩散系数α的两个关系式,形式如下:
α = 1.38 L2/π2t1/2 (5)
或
α = 0.48 L2/π2tx (6)
这里,由图1清楚可见方程5和6所决定的温度的意义。L是样品的厚度。根据方程5和对应的时间t l/2,有必要假定,我们在实际实验中测量的是热扩散系数α的有效值,以及对应于最大温度的等效时间tef。我们认为作出这一陈述的理由是当热脉冲通过样品时,样品被加热,声子的振幅增加。声子的平均自由程减少,这就导致扩散系数α下降,最终使tef增加。由基本公式推导出的tM并没有考虑这一物理效应。已表明,两个温度之间的关系满足以下的形式:
tef = 1.6tM (7)
最后,我们在上面引用的基本工作框架内提出以下基本假设:足够短的热脉冲,比热脉冲通过样品的时间要短;样品足够薄,允许一维解决热传输问题。
实验结果与讨论
在讨论的开始,有必要强调这样的事实:目前形式的CTA(非接触式热分析,以下简称CTA)用于热导率数值相对较小的橡胶和其他材料的热参数的测量(非接触式1)。列出的金属测量结果只是为了确定吸收热量Q的补充。
在研究工作的第一部分(相对较大的样品采用溶液),我们采用聚苯乙烯量热计。量热计中放置大小约等于(0.09×0.11×0.0014)m的矩形试验样品(铜、铝或橡胶混合物)。后面将给出橡胶混合样品的厚度。
![]() |
| 图1、由方程5和6推出的无因次参数理论关系图 |
图2给出了装置的示意图。用由计算机控制开关的卤素灯(电功率1500W)照射样品。将Raytek Thermalert MID 02型热传感器放在靠近测量样品表面的后部,用来感应温度。整个测量过程由专门的软件控制并进行评估,该软件自动接通灯,测量热传感器响应的时间-温度依赖性,并由测量数据确定温度的差别△T。为了达到仪器的可重复性能,每个数值要测量10次。
接下来将整套数据传送给Matlab软件。用Matlab对由热传感器响应获得的时间-温度依赖数据采用适当的回归程序后,我们得到以下的数值:tM(根据方程5和7)、吸收热量Q、比热c、热扩散系数α和热导率λ。
我们开始对测量样品吸收热量的结果进行实验分析。由量热方程Q=mc△T计算Cu样品吸收的热量,表格数值cCu=383 J/kg·K。Cu样品的表面两边都覆盖无光泽黑色喷雾层。Cu样品吸收的热量近似为QCu=(61.81士0.02) J。将△T确定为室温和样品表面上热传感器测量到的最高表面温度之间的差值。
![]() |
| 图2、实验装置侧面示意图 |
下一步,以同样的方法测量矩形厚度为0.002m的橡胶混合物样品。在所有的实验中,实验的几何结构和活化表面的数值都是相同的。评估Crubb时,我们使用Cu样品测定的吸附热QCu。与前面的情况一样,在样品的两边,橡胶表面也覆盖黑色喷雾层,在其他非黑色材料的表面也有必要使用黑色喷雾膜层。使用上述的方法,我们得到Crubb的平均值为1514.80土3031J/kg·K。
因为我们没有这个混合物的参考表格数值,所以我们用Perkin Elmer的Diamond型DSC(差式扫描量热计)分析参考测量。38℃时Crubb的平均值为1678土0.043J/kg·K,对应两种方法测得数值10%的偏差。有必要强调的是,同样组成的其他样品用于DSC测量和CTA。
接着,我们将判断用CTA和其他工作中使用的独立接触方法得到的橡胶混合样品的α和λ测量结果。
![]() |
| 图3、同时测量α和λ的实验装置图 |
实验布局如图3所示。镍片当作热源,同时也作为温度计。两个相同的圆柱形样品将流入铝片(Al)的热流对称分开,这就为实验提供等温的边界条件。
现在我们可以对比两种方法得到的结果。由CTA测得的α和λ平均值为:α = (1.81±0.03).10-7m2s,λ =(0.344±0.004)W/m·K。样品密度为ρ = (0.99973±
0.00006)·103kg/m3。橡胶厚度为2.2×10-3m,其他尺寸与金属样品的一样。其他工作中所述仪器测得的结果为:α=(1.85士0.02)·10-7m2s 和λ= 0.31105士0.0004W/mK。根据方程3,由这些测量结果算出比热为c=1691.8 J·kg-1K-1,与CTA的值偏差将近12%。由方程3计算出样品的密度为ρ=993.66kgm-3,也就是说与上面报道的值极其吻合。两个实验测得的扩散系数α差别将近2%,而热导率λ的差值在10%的水平上。从给出的c,λ和α的结果可以清楚地看出,所示的方法能得到具有可重复性的重复结果。测得的结果与其他独立方法测量的c,α和λ极其相符。
在研究的下一个部分中,我们采用接触测量,使用的全自动系统如图4所示。测试样品为Cd和橡胶混合物,都为圆柱体形状,直径*=12mm,厚度约2mm。用由计算机控制开关的卤素灯(电功率200W)照射样品。将Raytek Thermalert MID 02型热传感器放在靠近测量样品表面的后部,用来感应温度。与前面的情况一样,整个测量过程由专门的软件控制并进行评估,该软件自动接通灯,测量热传感器响应的时间-温度依赖性,并由测量数据确定温度的差别△T。为了达到仪器的可重复性能,每个数值要测量10次。
![]() |
| 图4、热分析示意图 |
Cd样品两边都覆盖上无光泽的黑色喷雾层。cCd测量值225.33士1.6J/kg·K,对应的表格数值等于231J/kg·K。两个值相差约2.5%。因此我们可以下结论说:所述的Q值测量得出相关的数值。
直径12mm、组成与上述实验中相同的橡胶混合物(两边都覆盖上无光泽的黑色喷雾层)具有非常接近的测量热参数值。
α = (1.91土0.02)10-7m2s
λ = (0.37土0.006)W/mK。
结论
提出的CTA(两个版本)是完全非接触式的、全自动的。适合于热导率相对较小材料的试验。从一次测量中可以很高的精度和非常良好的可重复性确定比热、热导率和热扩散系数。吸附热Q和密度是输入参数。
热导率、热容和热扩散系数的测量在橡胶工业具有非常重要的作用,主要是在轮胎制造中。因为这些数值及其变化会直接影响粘度的瞬时值和损耗因子(tgδ),从而影响轮胎与路面的粘合力。本文叙述固体材料中热传输的一般理论观点。
文献资料表明:红外温度记录法是研究材料热性质的一项非常有效的非接触式的方法。这种方法的可能性得到了广泛的研究;另有报道,用扫描式热视相机检测轮胎的温度分布变化图;此外,一种很有意思的快速方法已成功用在金属样品热性质的测试上。文中列出了测定的结果。然而这种方法并非绝对的无接触式。
热参数的接触式测量方法大多数需要相对复杂的电子设备。现在的工作采用这一设备作为测定热导率λ(单位W/m·K)和扩散系数α(m2/s)的参考。
本工作中提出以一次测量为基础,全自动、完全非接触地测定热容、热扩散系数和热导率的方法。该方法适合用于测量热导率很小的材料的热性质,例如橡胶混合物。
![]() |
理论依据
该理论以非稳态热传输的傅立叶方程开始, 形式如下:
T/ t =α 2T (1)
这里,T是绝对温度,α(m2s-1)是热扩散系数。在稳态情况下,傅立叶方程的形式为:
2T - 0 (2)
对热导率λ(W/m·k), 我们可以写出很有名的方程:
α=λ/pc (3)
这里,p (kgm-3)是样品的密度,而c (Jkg-1K-1)是比热。
基于这些基础知识,我们提出描述绝热固体内任意时刻温度分布的函数。该函数具有以下的形式:
由这一方程,根据样品的厚度L推导出确定热扩散系数α的两个关系式,形式如下:
α = 1.38 L2/π2t1/2 (5)
或
α = 0.48 L2/π2tx (6)
这里,由图1清楚可见方程5和6所决定的温度的意义。L是样品的厚度。根据方程5和对应的时间t l/2,有必要假定,我们在实际实验中测量的是热扩散系数α的有效值,以及对应于最大温度的等效时间tef。我们认为作出这一陈述的理由是当热脉冲通过样品时,样品被加热,声子的振幅增加。声子的平均自由程减少,这就导致扩散系数α下降,最终使tef增加。由基本公式推导出的tM并没有考虑这一物理效应。已表明,两个温度之间的关系满足以下的形式:
tef = 1.6tM (7)
最后,我们在上面引用的基本工作框架内提出以下基本假设:足够短的热脉冲,比热脉冲通过样品的时间要短;样品足够薄,允许一维解决热传输问题。
实验结果与讨论
在讨论的开始,有必要强调这样的事实:目前形式的CTA(非接触式热分析,以下简称CTA)用于热导率数值相对较小的橡胶和其他材料的热参数的测量(非接触式1)。列出的金属测量结果只是为了确定吸收热量Q的补充。
在研究工作的第一部分(相对较大的样品采用溶液),我们采用聚苯乙烯量热计。量热计中放置大小约等于(0.09×0.11×0.0014)m的矩形试验样品(铜、铝或橡胶混合物)。后面将给出橡胶混合样品的厚度。
![]() |
| 图1、由方程5和6推出的无因次参数理论关系图 |
图2给出了装置的示意图。用由计算机控制开关的卤素灯(电功率1500W)照射样品。将Raytek Thermalert MID 02型热传感器放在靠近测量样品表面的后部,用来感应温度。整个测量过程由专门的软件控制并进行评估,该软件自动接通灯,测量热传感器响应的时间-温度依赖性,并由测量数据确定温度的差别△T。为了达到仪器的可重复性能,每个数值要测量10次。
接下来将整套数据传送给Matlab软件。用Matlab对由热传感器响应获得的时间-温度依赖数据采用适当的回归程序后,我们得到以下的数值:tM(根据方程5和7)、吸收热量Q、比热c、热扩散系数α和热导率λ。
我们开始对测量样品吸收热量的结果进行实验分析。由量热方程Q=mc△T计算Cu样品吸收的热量,表格数值cCu=383 J/kg·K。Cu样品的表面两边都覆盖无光泽黑色喷雾层。Cu样品吸收的热量近似为QCu=(61.81士0.02) J。将△T确定为室温和样品表面上热传感器测量到的最高表面温度之间的差值。
![]() |
| 图2、实验装置侧面示意图 |
下一步,以同样的方法测量矩形厚度为0.002m的橡胶混合物样品。在所有的实验中,实验的几何结构和活化表面的数值都是相同的。评估Crubb时,我们使用Cu样品测定的吸附热QCu。与前面的情况一样,在样品的两边,橡胶表面也覆盖黑色喷雾层,在其他非黑色材料的表面也有必要使用黑色喷雾膜层。使用上述的方法,我们得到Crubb的平均值为1514.80土3031J/kg·K。
因为我们没有这个混合物的参考表格数值,所以我们用Perkin Elmer的Diamond型DSC(差式扫描量热计)分析参考测量。38℃时Crubb的平均值为1678土0.043J/kg·K,对应两种方法测得数值10%的偏差。有必要强调的是,同样组成的其他样品用于DSC测量和CTA。
接着,我们将判断用CTA和其他工作中使用的独立接触方法得到的橡胶混合样品的α和λ测量结果。
![]() |
| 图3、同时测量α和λ的实验装置图 |
实验布局如图3所示。镍片当作热源,同时也作为温度计。两个相同的圆柱形样品将流入铝片(Al)的热流对称分开,这就为实验提供等温的边界条件。
现在我们可以对比两种方法得到的结果。由CTA测得的α和λ平均值为:α = (1.81±0.03).10-7m2s,λ =(0.344±0.004)W/m·K。样品密度为ρ = (0.99973±
0.00006)·103kg/m3。橡胶厚度为2.2×10-3m,其他尺寸与金属样品的一样。其他工作中所述仪器测得的结果为:α=(1.85士0.02)·10-7m2s 和λ= 0.31105士0.0004W/mK。根据方程3,由这些测量结果算出比热为c=1691.8 J·kg-1K-1,与CTA的值偏差将近12%。由方程3计算出样品的密度为ρ=993.66kgm-3,也就是说与上面报道的值极其吻合。两个实验测得的扩散系数α差别将近2%,而热导率λ的差值在10%的水平上。从给出的c,λ和α的结果可以清楚地看出,所示的方法能得到具有可重复性的重复结果。测得的结果与其他独立方法测量的c,α和λ极其相符。
在研究的下一个部分中,我们采用接触测量,使用的全自动系统如图4所示。测试样品为Cd和橡胶混合物,都为圆柱体形状,直径*=12mm,厚度约2mm。用由计算机控制开关的卤素灯(电功率200W)照射样品。将Raytek Thermalert MID 02型热传感器放在靠近测量样品表面的后部,用来感应温度。与前面的情况一样,整个测量过程由专门的软件控制并进行评估,该软件自动接通灯,测量热传感器响应的时间-温度依赖性,并由测量数据确定温度的差别△T。为了达到仪器的可重复性能,每个数值要测量10次。
![]() |
| 图4、热分析示意图 |
Cd样品两边都覆盖上无光泽的黑色喷雾层。cCd测量值225.33士1.6J/kg·K,对应的表格数值等于231J/kg·K。两个值相差约2.5%。因此我们可以下结论说:所述的Q值测量得出相关的数值。
直径12mm、组成与上述实验中相同的橡胶混合物(两边都覆盖上无光泽的黑色喷雾层)具有非常接近的测量热参数值。
α = (1.91土0.02)10-7m2s
λ = (0.37土0.006)W/mK。
结论
提出的CTA(两个版本)是完全非接触式的、全自动的。适合于热导率相对较小材料的试验。从一次测量中可以很高的精度和非常良好的可重复性确定比热、热导率和热扩散系数。吸附热Q和密度是输入参数。
(转载)








