对电动汽车能源的动力电池及其充电技术的研究,往往需要针对不同种类的动力电池进行多种充电方式的充电试验。这就要求研制的充电电源不仅能对不同种类的动力电池进行充电,而且要能够进行多种充电方式的充电。而目前国内市场上销售的充电电源,无论是常规充电电源还是智能化充电电源,都往往是针对某一类动力电池的,并且只能采用单一充电方式进行充电。因此为了进行动力电池充电技术的相关研究,往往需要购买多台充电电源或自行研制相应的充电电源。前者需要大量的资金和宽阔的试验场地,而后者需要较强的专业技术和较长的开发周期。本课题研制了微机控制的大功率充电电源。
该电源采用PC104工业计算机作为控制核心,选取全桥变换器拓扑电路作为主电路,通过控制主电路在不同时刻的输出电流和输出电压,可以实现多种充电方式充电;通过预置不同的参数,可以对多种动力电池进行充电;通过结合液晶显示屏和手控盒,可以方便地实现充电方式和充电参数的预置及各采样数据(电池端电压、充电电流、电池表面温度等)的显示。
1 硬件设计
1.1 主电路设计
充电电源的主电路采用目前技术上比较成熟的全桥变换拓扑电路[1],其原理图如图1所示。三相380V交流电压经三相整流桥整流、电容滤波后得到约514V的直流电压,经全桥逆变电路变换后得到高频脉冲电压,再经高频变压器隔离变换后,由高频整流器整流及滤波器滤波后得到所需的直流电压。主电路的PWM控制方式采用常规的PWM控制方式。功率开关器件采用新型的复合器件——绝缘栅双极晶体管1GBT,它集MOSFET和GTR的优点于一体,具有输入阻抗高、电压型驱动控制、开关损耗小、饱和电压低、通断速度快、热稳定性好等优点,是大功率全桥变换器的首选功率开关器件。变换频率取为20kHz,利于减小高频脉冲变压器及副边滤波用扼流圈的体积和重量。二次整流器件采用快恢复二极管,利于减小整流管反向恢复时间对输出电压的影响。

1.2 控制系统设计
充电电源主要由主电路和控制系统组成。控制系统以PC/104嵌入式工业计算机为核心,配以接口电路、采样电路、PWM控制电路及IGBT驱动电路等,可按照预置自动控制充电过程,并在充电过程中进行充电数据(包括电池端电压、充电电流及电池表面温度等)的自动采集、实时显示、批量存储及分析处理等。控制系统组成框图如图2所示。

1.2.1 PC/104嵌入式工业计算机
控制系统之所以采用PC/104嵌入式工业计算机,主要是考虑到PC/104嵌入式工业计算机具有以下几方面的显著特点[2]:(1)小型化。PC/104采用模块化的设计方法,单个模块的体积为90mm×96mm×15mm。若一个PC/104系统采用三个模块,在90mm×96mm×45mm的小空间内就能实现台式工控机的全部功能;(2)低功耗。绝大多数模块采用+5V电源,芯片采用CMOS芯片,功耗特别低,只有1~2W,无需外加散热装置;(3)PC/104在软、硬件上与标准PC/AT体系完全兼容,可以很快掌握其软、硬件的使用方法,而将主要精力放在软件和接口的设计上。CPU模块提供PC机的不同档次的标准化产品,便于进行更新和升级;(4)外围模块齐全,提供显示控制、磁盘控制、通讯控制、数据采集控制等各种功能的产品;(5)采用一种紧凑的层叠栈接结构,各模块间通过加固的64针和40针的直立式连接器连接,并用四个金属托架支撑,更加坚固牢靠。本系统中采用了深圳盛博科技有限公司生产的PC/104总线SCM/Super Dx嵌入式CPU模块,其内包含了Intel 80486 CPU(100MHz)、16M在板内存、1个与PC/AT兼容的双向并行口、两个RS232串行口、7个DMA、14个中断、三个计数器、一个PC/AT键盘接口等。此外,为了消除频频读写硬盘可能带来的不稳定因素,采用32MB的Disk On Chip2000半导体固态盘取代硬盘,直接装在SCM/Super Dx嵌入式CPU模块的32脚DIP插座上。
数据采集模块选用了盛博科技有限公司的DMM-AT模块。该模块具有16路12位模拟输入、2路12位模拟输出、8路数字输入、8路数字输出、1024字节FIFO,100kHz最大采样速率,是一款功能较全、性价比较高的接口板,可以满足该系统所需的A/D、D/A转换及手控盒开关量输入的需要。
液晶显示屏担负着各种充电信息显示和充电参数设定等功能。选用了北京创业科技开发中心开发的型号为KY-D29A的智能液晶显示屏,整个液晶外形尺寸为113mm×65mm×14mm,显示点阵为128×64,可经RS232C直接与嵌入式微机连接,通过专用的指令可以方便地实现字符和汉字的显示及各种几何图形的绘制。手控盒作为PC/104的输入设备,通过和智能液晶显示屏的配合使用,可以很方便地进行各种参数的设置和各种充电数据及曲线的显示。
另外,为了便于应用程序的编写、调试、修改及维护,还选用了盛博科技有限公司的SysExpanModule/VFI系统扩展模块。该模块以高分辨率的图形控制器、软盘驱动器和IDE硬盘接口为PC/104系统提供扩展,使用标准自堆栈式总线接头,可以通过堆栈方式与CPU模块或其它模块相连接。通过给主控计算机外接显示器、标准PC/AT键盘、软驱和IDE硬盘,可很方便地进行应用程序的开发和调试。
蓄电池的电压采样和电流采样电路分别由电压霍尔传感器与信号放大电路以及电流霍尔传感器与信号放大电路组成。温度采样电路由热敏电阻、温度变送器和放大电路组成。
1.2.2 PWM控制及驱动电路
PWM控制电路的核心器件选取美国通用公司生产的电压型PWM控制器SG3525A。SG3525A是一种性能优良、功能齐全、通用性很强的单片集成PWM控制器。该芯片简单可靠且使用方便灵活,通过适当地外接电路,不仅能够实现PWM控制,还可以完成输入软启动、过载限流、过压保护等多种功能。PWM控制电路如图3所示。考虑到SG3525A作单端输出使用时,变换器的最大占空比不到50%,在实际使用中将输出端11和14的信号采用了取或的办法以得到较大的占空比[3]。

驱动电路的核心器件选取日本三菱公司生产的IGBT专用厚膜集成电路M57962L。M57962L采用双电源供电方式,可保证IGBT可靠通断,内置高速光耦隔离输入,隔离电压有效值可达2500V,并具有短路、过载保护及过流慢速关断等功能,只需外接少量的元器件,便可组成完善的IGBT驱动及保护电路。驱动电路如图4所示。电源电压VCC和VEE分别取为15V和-12V,电阻R201为IGBT栅极限流电阻,二极管D201用以进行短路和过流检测,串接稳压二极管Z201可以改变M57962L模块的过流保护起控点,稳压二极管Z202可以避免1脚承受过电压。

2 软件设计
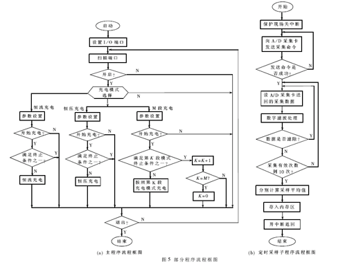
系统采用DOS6.22作为操作系统,Turbo C 2.0作为开发工具。为了便于程序的维护和修改,缩短程序的开发时间,采用了模块化的程序设计方法,主要包括主程序模块、参数设置模块、采样滤波模块、输出控制模块、图形显示模块及故障报警模块等。除了采样滤波模块和输出控制模块采用内部定时中断方式运行外,其余模块采用巡回扫描方式运行。主程序流程框图和定时采样子程序流程框图如图5所示。其中M段充电模式是指由恒压充电、恒流充电或恒压充电和恒流充电相结合而组成的两段以上的充电模式,如恒流恒压充电、两段恒流充电及三段恒压充电等。

参考文献
1 董运红,赵忠民.一种大功率充电电源的设计.航空计算技术,2001;31(1):52~54
2 毛 耀,包启亮.PC104在跟踪控制系统中的应用.西南民族学院学报(自然科学报),2002;23(3):370~372
3 李 俊.开关集成稳压器控制器的原理及应用.北京:人民交通出版社,1997.7
4 王英剑,常敏慧,何希才.新型开关电源实用技术.北京:电子工业出版社,1999.4
(转载)



