倒车障碍检测系统所采用的超声波传感器技术可以探测到附近的障碍物,为驾驶员提供倒车警告和辅助泊车功能,其原理是利用超声波探测倒车路径上或附近存在的任何障碍物,并及时发出警告。所设计的检测系统可以同时提供声光并茂的听觉和视觉警告,其警告表示是探测到了在盲区内障碍物的距离和方向。这样,在狭窄的地方不管是泊车还是开车,借助倒车障碍报警检测系统,驾驶员心理压力就会减少,并可以游刃有余地采取必要的动作。而这种PIC l8F8490微控制器与超声波传感器很便宜,并且可以用在众多车型上。
那末什么是基于超声波传感器的倒车障碍检测系统呢?为此应先了解超声波传感器的有关技术问题
超声波传感器系统构成与工作程式(见图1所示)
由发送传感器(或称超声波发送器)、接收传感器(或称超声波接收器)、控制部分与电源部分组成。发送器传感器由发送器与使用直径为15mm左右的陶瓷振子换能器组成,换能器作用是将陶瓷振子的电振动能量转换成超声波能量并向空中幅射;而接收传感器由陶瓷振子换能器与放大电路组成, 换能器接收超声波产生机械振动,将其变换成电能量,作为传感器接收器的输出,从而对发送的超声波进行检测.而实际使用中,用发送传感器的陶瓷振子的也可以用做接收器传感器社的陶瓷振子.控制部分主要对发送器发出的脉冲链频率、占空比及稀疏调制和计数及探测距离等进行控制.超声波传感器的电源(或称信号源)可用DC12V±10%或 24V±10%.

若对发送传感器内谐振频率为40KHz的压电陶瓷片(双晶振子)施加40KHz高频电压,则压电陶瓷片就根据所加高频电压极性伸长与缩短,于是发送 40KHz频率的超声波,其超声波以疏密形式传播(疏密程度可由控制电路调制),其超声波波形见图1所示,并传给超声波接收器.接收器是利用压电效应的原理,即在压电元件上施加压力,使压电元件发生应变,则产生一面为”+”极,另一面为”-“极的40KHz正弦电压.因该高频电压幅值较小,故必须进行放大.
根据超声波传感器等效电路与阻抗特性可知,对发送传感器而言,工作于串联谐振,即谐振频率fr处阻抗Zr最低,故能供给最大功率,能用较大振动传感器;而对接收传感器而言,工作于并联谐振,即谐振频率fα处阻抗Zα最高,难供大功率,但阻抗Zα高就能得到较大振幅信号,所以fα 处用作传感器其灵敏度高.
倒车捡测障碍糸统超声换能器的工作方式为反射式,,即发送传感器换能器发射40KHz频率的超声波,迂到障碍后反射被接收传感器的换能器接收并转换成电信号,见图2所示.
其传播介质为空气.

基于超声波微控制器技术的倒车障碍检测系统设计方案
图3为汽车倒车障碍检测系统设计方案框图, 设计方案包括:IC1主控器-为用Microchip的 PIC l8F8490微控制器作为汽车倒车障碍检测系统的主控器;发送部份(即发送超声波传感器)与接收部份(即接收超声波传感器);温度传感器(TC1047A)、通信接口RS-232驱动器以及与LCD或LED显示器等外围电路组成。

用微控制器作为检测系统的主控器
微控制器是倒车检测系统的核心。而Microchip的PIC l8F8490微控制器它非常适合于汽车车身控制这类应用。因它是一种有片上LCD驱动控制模块功能的闪存、电源管理的单片机,即运行速率为10MIPS-10百万指令每秒(MIPS),16KB闪存存储器、768字节RAM,具有一个LCD控制器、两个PWM、两个比较器和四个定时器,见图3中间IC1所示。因此它是倒车检测超声波传感器应用的高集成解决方案的主控部分。该微控制器采用纳瓦技术,实现电源管理功能,可以显著提高功效和系统可靠性,可满足包括在休眠模式下驱动LCD显示在内的低功耗设计要求。其系列产品可针对不同的嵌入式控制应用提供高达192段LCD的驱动,备有各种封装尺寸和集成特性。
发送器部分的控制
发送器是以每秒4-5次比率,在1mS期间发送40KHz脉冲方波,为了产生发射脉冲链,可以采用一个驱动器,以驱动超声换能器,其驱动器是 Microchip的TCl428 MOSFET驱动器见图3左侧所示。因实际超声波传感器特性的标准频率均为40KHz,这样发送器发送的40KHz脉冲方波链尽管是一个通用发送频率,但并非超声频率固定不变,可以根据盲区范围及障碍物远近作出选择, 标准频率(或称中心频率)愈高测距越短,而分辩率越高,常见超波传感器标准频率有30KHz、4KHz、75KHz等.
当发送器发送第一个脉冲的上升沿时刻定时器1开始计数.由于要求脉冲链的电压振幅比系统电压(+5V)高(这是由换能器所需信号源决定的),所以这个发送器部分应含有一个升压电路。这儿采用一种简单的有效升高电压的方式,即使用Microchip的MCPl650升压 DC/DC控制器,它只需要一个电容、一个电感和两个电阻就可以轻松选择需要的输出电压。主控器 IC1中PWM1(脉宽调制器)的作用是调节升压电路的输出电压为一恒定值。
接收器部分的控制
接收器部分包括一个超声波接收换能器、放大器、滤波器和一个比较器见图3左侧下所示。接收换能器的输出是一个低振幅正弦波,其频率与发射脉冲链频率相同。为了对换能器输出的信号进行放大,可采用Microchip的MCP6293运算放大器。这个运算放大器的特点是,虽然封装较小,但却拥有10MHz的带宽和引脚可选的低功耗模式。可将输出信号传送LC带通滤波器电路(又称振幅探测电路),该带通滤波器的中心频率(标准频率)与接收器的标准频率40KHz相同.这个振幅探测电路的作用是将接收到的脉冲转换为一个平滑、完整的波形,其高频噪声被过滤掉,这样一个被探测到的信号就形成了。然后这个信号被传送到比较器与衰减电压进行比较.需要说明的是,该比较器的参考电压是一个衰减电压(由RC阻容电路产生),这样该衰减参考就会随时间不断衰减接收到的信号.直至小于一个预先设定的距离值时,则定时器1仃止计数.
超声波传感器的选择与参数
可选用国产TC40-167R系列或MA40S2S(发送传感器)、MA40S2R(接收传感器)超声波传感器.其主要参数为(以TC40-167R为例):标准频率40±0.1KHz;灵敏度(dB)≥-68;声压(dB)≥114;方向角(度)60;静电容量/pf-2500;工作温度(℃)- 20℃--+70℃;有效距离≥15M,反射接收有效距离为4M-7M.
关于对倒车障碍物的探测距离计算显示
捡测系统在探测到障碍物时向驾驶员发出警告,而新型汽车倒车障碍检测系统可以根据实际使用环境采用多套发送与接收超声波传感器来扩大探测范围,从而提高对障碍物的正确度,即将距离最近的障碍物探测到并作出显示,故该倒车障碍物捡测系统的LCD或LED显示器显示出的数字是最近障碍物的距离。
超声波测量距离的计算方法
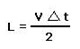
超声波是以脉冲串的形式向外发送的,脉冲频率即中心频率(或称标准频率)。PIC l8F8490主控器的定时器1(见图3的 IC1内所示)从发射第一个脉冲的上升沿时刻开始计数,直到主控器收到不断衰减的接收信号小于设定值(即当距离小于一个预先设定值)时定时器1停止计数。因此,所测量出的时间间隔 (发射信号和接收到的反射信号之间的时间差) △t 乘以声速就等于被测距离L的两倍(2△L)。若超声波在温度T时的传播速度为V,则微控制器就可以计算出汽车和障碍物之间的距离,其计算被测距离的公式为:

为此,只要当距离小于一个预先设定值时,非但有显示而且就会发出声光报警信号。
有关提高倒车检测系统性能与精度的解决
换能器选择与安装
根据所需要的精度、距离和系统成本,有几种不同的实施方案可供选择。换能器的频率和功率越大,精度就越高。换能器频率越高,其体积越小,也就使得系统可以更简便地安装到汽车上。频率低的换能器也有好处,其探测范围更大,更容易探测到换能器周围的物体。一种可降低干扰的廉价技术是,在接收换能器周围加一根3厘米的管子,这样就可以集中接收有效信号,并增加方向性。
影响系统性能下降的一个重要因素是,在发射器和扬声器之间的串扰。只有发射脉冲在接收换能器中的作用彻底消失,接收信号才能被探测到。在这两个组件之间尽可能减少机械耦合很重要。可采用的技术是,将每个换能器安装在不同的PCB上。如果它们共用一个基板,可以在换能器后面放一块薄的泡沫塑料。如果发射-接收运用单换能器解决方案,那么应该通过软件在发射之后和启用接收部分之前设置一个足够长的延迟。应该避免给换能器增加任何保护涂层。所有这些技术都能改进超声系统的性能
关于系统精度的提高
温度传感器消除该项误差
由于当环境温度发生变化时超声波的传播速度也随之改变,这将会引起测距误差。利用温度传感器TCl047A测量空气温度再送主控器中的A/D转换器进行温度补偿,即可消除该项误差。
改善接收器LC带通滤波器效果,可以增加信号保真度和系统精度。反射信号的额外增益级对增加探测范围和提高精度也有帮助。
结束语
上述类型的汽车倒车障碍检测系统设计方案是微控制器和超声波传感器相结合的应用技术,是提高驾驶安全与体验的一个解决方案。由于系统可以识别驾驶盲区内的障碍物,司机驾驶起来会更加得心应手。
通过方案比较,该基于微控制器技术倒车障碍物捡测系统比单纯用硬件电路系统(例内置有发送接收电路的LM1812芯片及外围电路组成的捡测系统)要方便灵活得多,因为可用充分发挥软件技术的优势,既可根据运行与泊车环境需要增加功能又替代很多硬件电路,使倒车障碍物捡测系统更可靠准确.
(转载)



