组合机床多轴箱通常采用一根动力轴带动多根主轴的工作方式,由于各传动轴必须在有限的箱体空间内得到适宜的分布位置并避免干涉,且各轴的设计又必须保证其转速、转向、强度和刚度,因此多轴箱设计难度大、周期长,往往成为组合机床设计的瓶颈,改变这一局面的措施是采用计算机辅助模块化设计。模块化设计是一种标准化、组合化设计,它不是面向某一具体产品,而是面向某一类产品系统以至有相似功能的相邻产品系统,它不必对每种产品施以单独设计,而是精心设计出多种模块,用巧妙、灵活而多变的方式组合出多样化的产品。为此,我们开发了支持模块化设计的组合机床CAD系统,将CAD技术和模块化设计方法用于组合机床多轴箱的设计,不仅可以缩短多轴箱的设计和制造周期,降低成本,而且有助于保证多轴箱的质量,增强企业的竞争能力。
1 系统开发环境与模块划分
目前国内机械产品的研发正逐步由以AutoCAD为代表的二维绘图软件转向以UG,Pro/E,SolidWorks为代表的三维设计软件。组合机床多轴箱三维CAD系统选择三维设计软件Unigaphics(简称UG)为软件开发平台,采用了UG/OPEN API接口,Visual 编译环境,Windows 2000/XP操作系统,利用UG快速、灵活、方便的三维参数化造型功能,保证系统顺利进行设计。
模块是产品、自然物或其混合物中,具有特定功能的基本单元,它具有标准化、系列化、互换性等特点。模块化设计是在对一定范围内的不同功能或相同功能不同性能、不同规格的产品进行功能分析的基础上,划分并设计出一系列功能模块,通过模块的选择和组合可以构成不同的产品,以满足市场的需求。在进行多轴箱模块化设计时,首先要把多轴箱划分成若干模块,由于多轴箱的具体结构取决于被加工零件的具体要求,如孔的数量、形状、分布位置以及被加工零件的数量等,因此它不属于通用件。但通过对多轴箱的组成零件进行分类,可以实现多轴箱零件的通用化,例如,多轴箱的箱体和前后盖是按轮廓尺寸和外形分类的;主轴按照用途分类,分为钻孔类、镗孔类、攻丝类等;齿轮则按照模数、齿数和孔径分类等,利用这些通用化的零件可以配置成各种不同结构形式的多轴箱。
多轴箱的设计首先要采用基于装配的特征建模法建立多轴箱的装配模型,然后在这个模型中对零部件展开设计,多轴箱的设计主要包括多轴箱体的设计和传动系统的设计,而传动系统是由若干主轴、传动轴和齿轮组成的。根据多轴箱的装配层次,将多轴箱设计模块分为3个子模块,如图1所示。多轴箱设计模块在多轴箱总体装配模型的平台上,通过交互界面接受用户输入的设计数据。

图1 多轴箱设计模块
2 多轴箱主要模块设计
2.1 多轴箱体设计模块
多轴箱的通用箱体分为箱体、前、后、侧盖,多轴箱基本尺寸系列标准规定,名义尺寸用相应滑台的滑鞍宽度表示,多轴箱体宽度和高度是根据配套滑台的规格按规定的系列尺寸选择,其结合面上联接螺孔、定位销及其位置与动力箱联系尺寸相适应。
多轴箱设计模块包括多轴箱参数化模型,保存多轴箱全部参数的数据库以及主控程序。
多轴箱箱体的规格尺寸为宽度和高度,将这两个尺寸设置为装配层控制参数,在设计多轴箱参数化模型的时候,多轴箱箱体、前后、侧盖之间采用UG/WAVE技术保持部件之间的相关性。首先建立多轴箱箱体的模型,然后在设计后盖、前盖和侧盖的时候,引用箱体的边以及螺孔WAVE链接图形,这样在更改箱体参数的时候,其它部件也会相应更新。
在设计多轴箱箱体时,要求用户选择多轴箱类型,多轴箱类型分为卧式和立式两种,其区别在于前盖的厚度,然后选择箱体尺寸,在主控程序中,提供了所有多轴箱的箱体尺寸,避免了查表,便于选择标准化多轴箱。将多轴箱的箱体尺寸作为查询条件,在箱体参数数据库中提取所有设计参数,并传递给图形库中的箱体三维模型,模型按照提供的参数更新后,用户选择保存,在需要的时候可以装配到装配件文件中,多轴箱设计流程如图2所示。

图2 箱体设计流程图
2.2 齿轮设计模块
齿轮设计模块中提供了3种齿轮设计模型,单个齿轮三维设计模型,在设计轴时建立齿轮模型和组合基本传动模型,现以组合基本传动模型为例介绍齿轮设计模块的创建情况。
根据传动系统中齿轮间不同的啮合方式,利用系统的交互建模方式,建立起常用的齿轮传动装配模型库。组合机床多轴箱传动系统中共有三种基本传动模型:(1)同排一带一、一带二和一带三;(2)异排一带二;(3)异排一带三。组合机床的传动系统可由上述4种基本传动模型组合而成。
基本传动模型模块包括图形库、数据库和主控程序三部分。图形库包括全参数化的齿轮模型,数据库中存放所有传动轴和主轴的坐标,以便计算时调入,主控程序完成坐标计算、数据访问以及模型更新等操作。在进行组合机床设计系统时,首先为每根传动轴和主轴编号,并且将已知轴坐标存放在数据库中;然后选择需要的基本传动模型,经过计算得出未知轴坐标并存放于数据库,最后建立模型。
主控程序的主界面如图3所示;程序流程如图4所示

图3 齿轮传动设计界面

图4 主控程序流程图
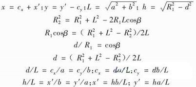
现以异排一带二传动模型为例说明其计算过程,异排一带二即在一根传动轴上用两对齿轮分别带动两根已知轴,如图5所示。已知O轴、A轴的坐标以及传动齿轮的齿数和模数,B轴坐标的计算过程如下

图5 一带二传动模型计算
异排一带二传动计算程序界面如图6所示。

图6 一带二传动计算程序界面
3 结束语
本文根据组合机床多轴箱总体方案和设计要求,划分并设计了多轴箱的功能模块,在三维软件UG平台上,利用其强大的三维造型功能和装配功能,建立了多轴箱模块的三维参数化模型。采用三维设计方法取代传统的二维设计方法,使设计过程可视化,设计结果直观明了,有利于提高设计质量。采用模块化设计和三维CAD系统可极大地提高组合机床多轴箱的设计效率,提高产品的质量和寿命,保证产品开发的一次成功。
(转载)



