摘 要:提出降低电机噪声的重要性,明确了电磁噪声、机械噪声、通风噪声是电机的主要噪声源;应用噪声的迭加与分离理论,在实例分析中分析各噪声源在总噪声的构成比例,确定影响电机噪声的主要因素,提出降低噪声的措施及产生的效果。 关键词:噪声 声压级 分析 措施
1前言 同煤集团中央机厂电气修理分厂所修理的千伏级电机,在出厂检验过程中,发现部分千伏级电机噪声太大,超过了GB755-81《电机基本技术条件要求》中关于噪声限值的规定,极大地影响了产品的质量。虽经多次反复拆、装,采取了许多措施如:转子找正、找平衡、更换轴承等,但效果却不明显,导致17台电机不能出厂;这不仅严重影响了矿上的生产需要,也影响了我厂的信誉。因此,我们必须尽快解决这个问题,迫切需要对电机噪声进行分析与控制。 2噪声的分析、迭加与分离 影响电机噪声的因素很多,但从本质上分析电机的噪声主要有电磁噪声、机械噪声、通风噪声三种。这三种噪声源虽有一定的独立性,但也相互影响。要想控制和降低电机噪声,就必须要确定电机的各主要声源在总噪声中的比例;也就是要用噪声级的相加、相减和求其平均值的方法来确定哪些噪声源是构成电机总噪声的主要因素。 2.1声压级的相加 若几个声源在电机某一点上产生的声压分别为P1、P2、P3……Pn,对应的声压级分别为Lp1、Lp2、Lp3……Lpn,则总的声压级为
 式中Lp——合成声压级,dB Pi——第i个声源的声压,N/m2 P0——基准声压,P0=2×10-5N/m2 2.2声压级的相减 除了第i个噪声源以外的其他几个噪声源合成的总声压级可以测定,用 表示,则将式(1)改为指数形式后可得
 2.3声压级的平均值 先测量若干点的声压级,再求平均值,对应式(1)求声压级的平均值
 2.4总噪声声压级的百分比构成 为了定量地分析各噪声源在合成总噪声中所占的比例,取式(1)的指数形式

 2.5噪声的分离试验 噪声分离试验的目的是为了分别测算出各噪声源的声压级。采用测量和计算相结合的方法可以取得满意的效果。 3实例应用 我厂所修132kW千伏级电机是最具代表性的大噪声电机。我们应用噪声迭加分离理论进行分析,可以找出影响电机噪声的主要因素,并采取相应措施降低电机噪声,从而提高电机质量。 3.1主要噪声分析 挑选5台同厂家、同类型的132kW电机作噪声分离试验。 (1)先测定每台电机噪声的总声压级Lp(dB)。 (2)去掉风罩和风扇,在额定电压下再测出每台电机噪声的声压级,即电磁噪声和机械噪声的合成声压级Lp2+3(dB)。 (3)切断电源再测定每台电机的机械噪声声压级Lp2(dB)。 由于电机电磁过渡过程比机械过程要快得多,因此在切断电源后,电磁振动源及噪声源随电磁过渡过程迅速结束而消失,而机械噪声下降速度要比电磁噪声下降慢的多,故此时所测出的电机噪声基本上是机械噪声。 (4)根据式(2)计算出电机的电磁噪声声压级Lp3(dB)和通风噪声声压级Lp1(dB) (5)将分离试验中所测算出的数据填入表1。

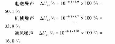
3.2按噪声构成比例确定主要因素 根据上表的数据,按式(5)计算,在电机噪声声压级中
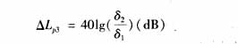
 通过上述分析,132kW电机的主要噪声源是电磁噪声和机械噪声,这就是构成电机噪声的主要因素。 4主要噪声源的降低措施 4.1电磁噪声 4.1.1造成电磁噪声的主要原因 经过我们对这5台电机进行分析研究,发现这些电机的服务年限比较长,不同地出现了老化现象,经过修理的次数也较多,定、转子的电磁性能也发生了变化。例如: (1)定子刚度不够造成一定的扭曲变形,导致磁路不平衡,结果产生了径向脉动电磁力。 (2)转子出现偏心现象,造成气隙不均匀,产生单边磁拉力。 (3)机壳、端盖的修理、加工精度不高,或轴承装配不当,造成转子偏斜,产生低磁力波噪声。 4.1.2采取的措施 4.1.2.1适当加大气隙 当气隙加大后,相应的电磁噪声声压级Lp3将下降
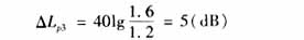
 如132kW电机气隙为1.2mm,如果将它加大到1.6mm时
 经现场测试表明,适当加大电机气隙,除了可降低电磁噪声外,更重要的是它还能消化装配误差造成的对电机的诸多影响,可稳定电机噪声的质量水平。但是,加大气隙也会对电机的电气性能造成一定影响,所以在增大气隙时,一般不要超过原气隙的40%。 4.1.2.2严格的检验和改进装配工艺 (1)每台电机在装配前,转子都要经过严格的静平衡校验和同轴度校验。 (2)对定子止口要增加对圆柱度的检验,对定子铁心也要仔细检查是否变形,铁心内径是否变形,如有变形要保质保量地修复,以保证铁心的质量。 (3) 加工零配件时,建立严格的质检制度,检验环节要严格把关,以确保加工质量和精度。 4.2机械噪声 经研究分析,机械噪声主要还是以轴承噪声为主,而轴承噪声又分为固有噪声和装配噪声,我们通过观察分析发现我们过去设计的轴承内圈与轴、外圈与轴承室的配合偏紧,造成轴承工作游隙太小,加速了轴承的磨损,也造成轴承噪声增大。因此,合理地选择轴承的配合公差可以降低轴承的噪声。具体措施为:
 (3) 装配工艺对电机轴承的影响也很大,选择正确的装配工艺也是降低轴承噪声的重要措施。 通过上述对电磁噪声和机械噪声的分析和采取的措施,从而有效地控制和降低了电机噪声;经过改进后,测试了这5台132kW电机样品,发现这5台电机的噪声声压级平均下降了8dB,由94.2dB降到86.2dB,已低于《电机基本技术条件要求》中关于电动机在空载运行时的最大噪声限值为90dB的规定。 5结语 通过上述分析,我们认为应用电机噪声的迭加与分离理论,可以确定各个噪声源在总噪声源中的构成比例。我们通过实例分析,找出了影响132kW电机噪声的主要噪声源是电磁噪声和机械噪声。通过采取一系列有效的措施,使电磁噪声和机械噪声有了一定的下降,取得了比较好的效果。在今后的工作中我们还会进一步深入研究,争取在电机噪声控制方面取得更大的成果。 |