ESP的控制算法很多,有利用实际的车辆状态,通过相平面法进行判断控制的;也有采用状态差异法,即利用名义状态与实际状态的差异来进行判断控制的。但采用的控制参数不同,状态差异法也不同。
本文基于车辆横摆角速度的状态差异法,设计了ESP的控制逻辑,并根据某型车的动力学参数,设计了适用于该车的ESP控制算法。
1 ESP控制算法设计
ESP从控制功能来看,包含了防抱死制动系统(ABS)、驱动力控制系统(TCS),以及主动横摆力偶矩控制系统(AYC)。控制逻辑总体结构如图1所示。

整个控制逻辑分为两个层次,即主副两个循环。主循环控制车辆的横摆角速度,实施直接横摆控制(DYC);副循环监视车轮状态,防止在控制过程中出现车轮抱死的情况。
1.1 主控制循环
主循环DYC控制在监视横摆角速度差值的过程中,一旦横摆角速度差值大于某个正门限,则立即进入ABS副循环,快速增压左前轮,减压右前轮。一旦这个正门限值消失,则立即减压左前轮,恢复车轮的自由滚动。同样的,一旦横摆角速度差值小于某个负门限值,则立即以ABS的方式增压右前轮,减压左前轮,一旦门限值消失,则快速减压恢复车轮的自由滚动。
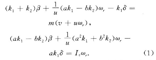
横摆角速度差值即名义横摆角速度以及实际横摆角速度的差。车辆横摆角速度的实际值,可以利用装在车上的横摆角速度传感器测得。而名义横摆角速度,需要控制器根据车辆的动力学参数、车辆的状态以及驾驶员的输入进行计算而得到。本文利用一个线性二自由度车辆模型进行计算。
该车辆模型中。假定轮胎的侧偏角与侧向力的关系是线性的,同时不考虑地面切向力对轮胎侧偏特性的影响,也不考虑空气动力的作用。将车辆简化为线性二自由度的模型,忽略转向系统的影响,直接以前轮转角δ作为输入;忽略悬架的作用,认为车辆车厢只作平行于地面的平面运动;车辆沿x轴的前进速度u视为不变,因此,车辆只有沿y轴的侧向运动和绕z轴的横摆运动两个自由度。线性二自由度车辆模型如图2所示。

二自由度车辆运动微分方程式如下:

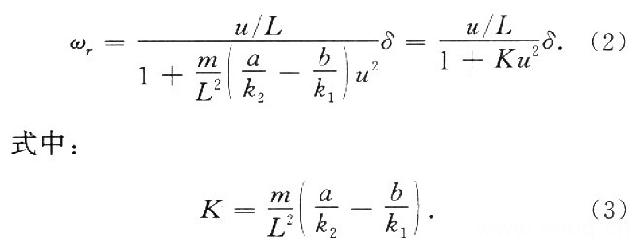
将这样一个线性二自由度汽车等速行驶时,前轮角阶跃输入下得到的稳态横摆角速度作为名义横摆角速度:

1.2 副控制循环
副循环在ABS控制的基础上进行轮速控制。控制逻辑分3个主要阶段:首次增减压阶段、高附循环阶段及低附循环阶段。控制过程从首次增减压阶段开始,进行相应的增减压调节。在调节过程中,先进行路面识别。如果识别出是高附路面,则进行相应的高附路面的车轮制动力调节;如果识别出是低附路面,则进入相应的低附路面车轮制动力调节。同时,路面识别的结果也输出到主控制循环,为主循环DYC提供路面信息,决定主循环DYC各控制门限值。
2 用于ESP设计的硬件在环仿真试验台
为了验证所设计的。ESP控制逻辑的有效性,通过MATLAB/Simulink/xPC实时仿真工具,建立了如图3所示的硬件在环仿真试验台。

图3中,宿主机中建立ESP算法控制模型,利用嵌入式目标Embedded Target for Infineon C166Microcontrollers进行ESP控制算法的自动代码生成,然后自动调用Infineon MiniMon工具通过RS232串行电缆将生成的代码下载进基于InfineonCl66微处理器的控制ECU中。
宿主机内利用Simulink建立了15自由度的整车模型,利用xPC工具通过TCP/IP将模型下载入目标机实时运行。实时运行的模型采集制动压力信号,计算出当前的车速、横摆角速度、前轮轮速,连同模型中设定的方向盘转角一并传递给ECU。ECU根据当前状态判断车辆的稳定情况,一旦检测到失稳倾向,就立刻控制HCU电磁阀及主动压力源电磁阀进行增减压操作。新的压力信号又反馈给目标机,目标机根据新的制动压力信号计算下一个步长的车辆状态,形成一个闭环。
仿真试验过程中,ESP对车辆的控制效果通过一个三维场景实时显示,相应的控制参数也可通过图表离线分析。采用这种分析方式,可以得到较精确的ESP控制参数值,从而大幅度节省后期道路试验的费用。
3 ESP控制算法的验证
基于制动器的数学模型进行了安装ESP车辆移线操作的纯数字仿真。仿真结果能够证明ESP的调节作用。但由于目前制动器模型不能准确描述制动力作用过程中的非线性因素,因此采用硬件在环仿真试验能够得到接近道路试验的结果。
Fishhook试验方法是验证ESP控制效果的有效方式之一,其试验操作如图4所示。当汽车达到需要的速度之后,驾驶员将方向盘向一个方向急速转向270°,然后将汽车向相反方向急速回转540°。

初始仿真条件为,车辆初速100 km/h,路面附着系数O.5。图5所示是未加ESP控制时的Fishhook试验结果。仿真结果分别列出了车速及轮速、名义横摆及实际横摆角速度、车辆轨迹曲线。施加了ESP控制的硬件在环仿真结果如图6所示。


从仿真结果可以看出,没有施加ESP控制之前,横摆角速度的名义值与实际值之间出现了很大的偏差,而且表征车辆横向稳定性状态的车辆质心侧偏角一度出现大于1 rad时,车辆明显失稳。从车辆的轨迹上也可以看出,车辆横向偏移大,已偏出实际跑道。而施加了ESP控制之后,从制动力矩曲线可以看出,控制系统对车辆进行了必要的制动力干预,使得车辆的实际横摆角速度与名义横摆角速度保持在允许的范围之内。车辆的质心侧偏角也控制在了正常范围以内,保证车辆的稳定性。制动施加过程中,车轮也没有出现抱死的情况,说明控制算法中ABS制动小循环发挥了作用。从车辆的轨迹曲线来看,车辆能够完成正常的Fishhook动作。
4 结 论
本文设计了包含主副两个控制循环的ESP控制算法。主循环控制横摆实施DYC,副循环控制车轮转动实施ABS。主控制循环中的控制参数为车辆的状态差异值。其状态差异由实测车辆的横摆角速度与由一个2自由度车辆模型计算得到的车辆横摆角速度相比较而获得。采用自行研制的硬件在环仿真系统,针对ESP性能测试专用Fishhook测试模式,对所设计的ESP控制算法进行了试验验证。试验结果验证了所设计ESP算法的有效性和实时适应性。
(转载)



