1 引言 多年研究软起动器,发现软起动器对电动机的过载保护有些简单化,虽然说是反时限保护,但实际是采用定时分段的办法,有时误动作,有时烧电动机。对于电动机断续过载保护时由于电动机早已过热,那么它的过载能力已经减小,对于冷态的电动机来说,它的过载能力要比热态的电动机过载能力大的多。如果要真正反应电动机的过载能力又能对电动机起到过载保护就必需通过热积分,采用热记忆功能。这样才能保正系统的可靠性和保护的灵敏性。
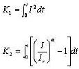
1.1 两种典型的数学模型 软起动器对电动机具有控制、保护、监测等功能,对电动机的热过载保护采用的反时限保护特性有多种数学模型,其中典型的有两类: (1)等I2t的时间电流特性
(2)IEC 60255-3[1>推荐的数学模型
 以上式中: Ir — 电流整定值 I — 实际电流值 t — 动作时间(s) K — 表征特性的常数 α— 函数指数
1.2 脱扣器的控制方式 脱扣器的控制方式可采用: (1)积分法 以两种典型的数学模型为例,分别求积分值:
 设定K1或K2的动作值,控制动作时间t。 (2)查表法 设定I—t对照表,根据当前I控制动作时间t。 但是在实际运行中两种方法均存在弊端。如用积分法上述的两类数学模型都可能造成在低于动作值时仍能误动作;如用查表法在通常电流不断变化的情况下,很难合理的控制过载脱扣的延时时间。 为了较好的解决低压断路器的智能控制器中长延时脱扣器的延时控制,本文试图按热保护的基本原理进行分析和探讨。
2 热保护的基本要求 根据热平衡关系,电气设备的发热应等于散热与蓄热之和,即
(1) 式中:P — 发热功率; Kr— 散热系数; S — 散热表面积; τ— 温升; c — 比热; G — 发热体重量; t — 时间。 微分方程的解为:
 过载保护元件应在小于被保护电气设备温升允许值的设置值动作,断开电路。
3 按热平衡原理整定过载长延时脱扣


4 动作值和热时间常数的计算
4.1 动作值
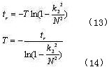
 按电动机起动器和断路器的要求,k2应分别小于1.2和1.3,为同时满足这两种要求,并留有裕度,可取k2=1.1~1.15。 由式(11)可取 K=k22T(12) 以K作为式(6)或(7)的截止值,当A≥K时控制器动作,实现长延时保护功能。 式(9)和(10)可转换为:

4.2 热时间常数的计算 在已知任意—N值下要求的tr值,即可计算T。

4.3 延时时间的计算 按式(13)计算在不同过载电流下的延时时间,并考虑电流测量误差的影响,计算结果见表1(计算时取T=642s)。

5 动作值的测量和计算 为测量智能脱扣器实态通电时的A值,可以采用数值积分的方法等间隔的测量电流和计算A值并与K值比较。 设测量间隔为Δt,并且初始温升为0,由式(6)和(7)
上列各式中N可以为变量。 逐次计算,逐次与k比较,直至Ax≥k时控制器动作。则
 …… 在有辅助电源的情况下,A值逐渐递减,直至软起动器重新起动,A值又开始递增;或辅助电源断开,A值清零。 为防止过载脱扣后,软起动器在短时内的再接通并在短时内再分断,可设置一定的恢复时间,以保证在恢复时间内,软起动器不得起动。
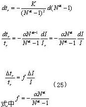
6 测量误差分析 对式(8)微分:
 对应表1中的计算值tr,在表2中列出p和f的相应值。
表2 与表1中计算值tr对应的p和f值

表2的误差传递系数f的估算值与表1的计算结果基本相符。 由表1及表2可以看出在较低过载倍数下由电流测量误差所引起的延时时间误差较大。
7 保护特性的斜率调节
7.1 建立数学模型 为了满足不同的配合需要,现在有的制造厂提供了改变长延时保护特性斜率的调节功能[2>或参照IEC 60255标准提供了不同数学模型的保护特性。为了实现保护特性的斜率调节,本文推荐两种数学模型并用的方案。 (1)基本数学模型 经对比分析我们可以以式(7)作为基本保护特性的基本数学模型。 (2)用于斜率调节的数学模型 可选用国家标准GB 14598.7(等同IEC 60255-3)推荐的数学模型用于斜率调节。根据GB 14598.7:
(16) 式中:N=I/Ir 指数α可选 K为常数 现以三种斜率的保护特性为例: ● A型反时限 tr=K/(N0.02-1) (17) ● B型反时限 tr=K/(N-1) (18) ● C型反时限 tr=K/(N4-1) (19) K值可根据保护要求设定,或参照前述基本保护特性NIr(如N=2或N=6)对应的时间tr设定。
7.2 动作值的测量和控制 将式(17)、(18)、(19)变换为 A=t(N0.02-1) (20) A=t(N-1) (21) A=t(N4-1) (22) 在实际运行中可每经过一个等间隔Δt进行一次累加,逐次计算A值,逐次与K值比较,直至达到设定值K值,求出延时时间tr。 以式(21)为例,设
 对应式(20)和(22)可以采用同样方法进行计算和控制。 但是应用此方法计算有两个问题需要解决: (1)设定N的阈值 通常在K的设定值范围,在N=1.05的条件下,计算值tr很可能小于1h,不能满足软起动器要求。为了防止在1.05Ir及以下的误脱扣,需设定阈值,如设定Nd=1.15,当N≤Nd时可仍按基本数学模型控制和计算。 (2)阈值上下数学模型的转换 如在N>Nd时,按式(20)~(22)的数学模型进行计算和控制。 现举例说明如下 ● 保护特性取式(21),设定K=13.5 根据式(12)计算T值,取k2=1.15 T=13.5/1.152=10.2 在N≤Nd时按前面第4节所述方法进行计算和控制。 在N>Nd时按式(21)的数学模型进行计算,如果在尚未达到动作值时电流又下降使N≤Nd,并且当前A值为Ay。则此后需按基本数学模型累加计算A值:
(24) ………… 式中初始值Ay为原数学模型下保留的A值。以下按前面第4节所述方法进行计算和控制。 如果此后又回复N>Nd条件,应重新按式(21)的数学模型计算和控制。在反复转换数学模型时不需改变K值和当前的A值。 ● 保护特性取式(22),设定K=1200 根据式(12)计算T值,取k2=1.15 T=1200/1.152=907.4 在N≤Nd时按前面第4节所述方法进行计算和控制。 在N>Nd时按式(22)的数学模型进行计算,如果在尚未达到动作值电流又下降至N≤Nd,并且当前A值为Ay。则需按式(24)计算A值。 如果此后又回复N>Nd条件,应重新按式(22)的数学模型计算和控制。在反复转换数学模型时不需改变K值和当前A值。
7.3 误差分析 对式(16)微分
 式(19)、(20)和(21)三种数学模型时间相对误差与电流相对误差之间的传递系数计算值见表3。
表3 三种数学模型时间相对误差与电流相对误差之间的传递系数计算值

由表3中可见,当α=0.02和α=1时在Nr≥1.5的情况下,要满足延时时间的误差不超过±10%的要求并不困难;但是在α=4时,因特性曲线斜率值大,要达到同样的指标是有一定难度的,即使电流测量误差为±2%,再考虑K的控制误差和数值化整等因素,延时时间的误差也可能大于±10%。
8 结束语 本文提出的一套利用数值积分法解决反时限保护特性的实时测量和控制方法,既可比较合理、方便的提供多种保护特性,又可较好的解决负载不断变化情况下的热记忆问题,还有助于提高长延时控制单元的抗干扰能力。 由于在实时控制中,微处理器在很短时间内无法完成一些函数的复杂数学运算,本文中的一些计算公式和参数在工程计算中需要进行了变换和处理,在CMC系列软起动器中得到了应用,通过实际运行达到了理想的效果。
|