由于开关电源技术的不断发展,开关电源被应用到越来越广泛的领域中。不但要求电源输出电压种类多元化,输入电压也多种多样,尤其直流输入电压范围比较广泛,本文设计了一种应用在列车上的电源。
1 主电路工作原理与设计
1.1 供电电路
该电源供电电路原理图如图1所示。

要求输入电压为DC 24(1±20%)V,输出电压为DC 110V,电流为3A。输入电压由外部电源提供,同时具有外接蓄电池功能。当V1(外部DC24V)输入正常时,由V1向电源供电,同时V1向蓄电池充电,并提供LED指示,当V1输入欠压(≤21V)、过压(≥30V)时由V2(蓄电池)向电源供电并提供LED指示。当蓄电池≤21V时切换到外部24V供电,并提供LED指示。
当外部电压V1高于VZ1(30V)时,Z1电流流过,T3导通比较器T4A脚1为低电平,LED1灯灭,LED2灯亮。由外接蓄电池V2供电。当外界蓄电池电压降至21V时,比较器T4B的脚6电压低于脚52.5V基准,比较器T4B的脚7输出高电平,即比较器T4A脚3电压高于脚2电压,即脚1为高电平,此时LED1灯亮,LED2灯灭,由外部电源供电。
正常供电时外部电压V1通过光耦向T1提供基极电流,同时为外接蓄电池提供了一个电子开关。T4A的脚1为高电平,T2处于导通状态,光耦的光敏三极管的CE段被拉至低电平,控制继电器不工作此时LED1灯亮,LED2灯灭。
当外部电压V1低于21V时,比较器T4A脚3电压低于脚2的2.5V基准。脚1输出为低电平,T2截止,T1导通,继电器工作,LED1灯灭,LED2灯亮。
由于输入电压较低,而负载较重所以采用推挽式变换电路。因为推挽电路比半桥、全桥电路功率开关管承受的电压高一倍,推挽功率开关管的电流减小一倍,管子损耗小。
1.2 推挽变换器基本工作原理
推挽式逆变电路分共射极、共基极、共集电极三种类型。由于共射极电路变压器体积小,效率高,应用最广,所以采用共射极电路。
推挽电路如图2所示,S1、S2栅极加倒相的对称激励脉冲信号,激励电压UG1使S1导通,S2截止,则输入电源通过S1、NP1及变压器次级回路向负载供电。在这期间施加于截止管S2上的电压为2E。当激励信号消失时,两管均截止,每管承受的电压为E。同理,激励电压UG2使S2导通,S1截止,电源通过S2、NP2及变压器次级回路向负载供电。在这期间施加于截止管S1上的电压也为2E。当激励信号消失时,两管又都截止,每管承受的电压为E。在上述两个过程中,输出变压器T副边绕组的电压方向相反,输入直流电压变成了矩形波交流电压,完成了逆变任务。

2 设计内容和方法
2.1 功率开关管的选择和计算
功率开关管的选择主要是耐压和集电极电流等参数。
2.1.1 耐压的选择
功率场效应管漏源击穿电压BVDS随温度而变化,结温上升,耐压值也上升。而双极型晶体管相反,故选用功率场效应管。在实际选择功率开关管的耐压时,要考虑电压波动,干扰尖峰电压等影响,以防止二次击穿。
推挽电路功率开关管漏、源极间的电压应为二倍输入最高直流电压与干扰尖峰电压之和,即
![]()
其中:Emax=30V;
通常考虑干扰尖峰电压Ur为最高直流电压的(20~30)%,所以
Ur=6V~9V。
则Uds=2Emax+Ur=2×30+9≈69V
选用BVDSO≥69V的场效应管即可。
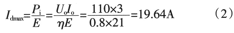
2.1.2 电流的选择
电流的选择决定于功率开关管的功耗和发热,所以通过开关管漏极最大电流应小于其极限参数IDM。漏极电流应根据负载要求的直流功率,导通的时间及效率来确定。在选择功率开关管时,电路中有些参数,如效率、导通时间、截止时间是未知的,对于未知量可以估算或假定。
推挽变换电路的电流为

式中:0.7~0.9为变压器效率,这里取0.8。
考虑功率开关管导通时间占空比,将计算的Idmax增大(10~30)%,最大值为25.53A,这里取IRFP150。
2.2 主变压器的设计
主变压器的设计是变换器中比较重要的一部分,主要是选取变压器铁心,计算绕组匝数,确定导线直径。
2.2.1 变压器铁心的选取
变压器由于工作在高频下,铁心损耗大,所以选用价格便宜、装配方便的铁氧体铁心。
在选择铁心结构时,应考虑铁心漏磁小,变压器绕制、维护方便,有利于散热等条件。在低电压大电流的变换器中,变压器绕组电流很大,导线粗不易绕制。这里采用EI型。
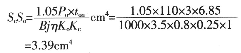
根据变压器次级功率确定铁心尺寸,根据变压器工作频率和效率选取铁心材料,两者综合确定铁心型号。

式中:Sc为铁心截面;
So为窗口截面;
Ps为变压器次级功率;
tON为脉冲宽度;
f为变换器工作频率;
B对于他激电路来说,为工作磁感强度,取![]()
j为导线电流密度,一般为(2~4)A/mm2,取3.5A/mm2;
Ko为铜线在铁心窗口中的占空系数,一般为(0.2~0.5)取0.25;
Kc为铁心占空系数,铁氧体取1。
变压器次级功率与负载要求直流功率、整流滤波电路损耗功率的关系为
![]()
根据负载要求,计算出Ps,便求出ScSo的乘积,然后查阅标准铁心尺寸,分别确定Sc及So的值,再根据Sc确定铁心的具体尺寸,根据So确定窗口尺寸。

一个工作周期脉宽![]()
半个工作周期脉宽![]()
为了避免共同导通,最大脉宽必须小于8.35μs。设ts=1μs,tr=0.5μs
最大脉宽为tONmax=8.35-(1+0.5)=6.85μS
考虑损耗,取Ps=1.05Po,则

初选EI-50型铁氧体铁心,查得
铁心面积So=2.1609(cm2);
窗口面积So=2.4690(cm2);
两者乘积 ScSo=5.3353(cm4);
实际铁心的ScSo(5.3353cm4)大于计算的3.39(cm4),故可满足要求。
2.2.2 绕组匝数的计算
根据铁心截面确定原边绕组的匝数NP,然后根据Nn确定副边绕组匝数Ns。
根据他激式推挽电路可以得出
初级绕组匝数NP为

取Np=8匝。
次级绕组匝数N为

取Ns=57匝
式中:Usmax为变压器次级最高输出电压;
Upmin为变压器初级最低输入电压;
UF、Ur分别为整流元件及滤波扼流圈直流压降;
K1为考虑整流电路影响的增大系数,通常取1.1~1.2,这里取1.1;
K2为考虑变压器内阻压降及接线熔断器等压降影响的增大系数,通常取1.2左右。
2.3 整流元件计算与选择
2.3.1 整流元件选择
对于直流变换器来说,高频变压器副边接整流滤波电路,其作用是将高频矩形波电压变成脉动符合要求的直流电压。变换器中用的整流电路有中间抽头的全波整流电路和桥式整流电路,由于中间抽头全波整流电路只用两个二极管,与桥式电路相比,可以减少二极管的内压降,提高变换器的效率。所以在满足电压要求的情况下,多数采用中间抽头全波整流电路。
整流电路输出是断续直流,所以采用电感、电容滤波电路,将输出杂音电压降低到最低水平,以满足负载的要求。
由于变换器有滤波电路,所以通过整流管的电流要考虑电感电流的影响。因此,对不同的滤波电路,整流管的选择方法不同。
在双端逆变全波整流电路中,电感滤波有续流二极管的情况,必须考虑电感续流的影响,同时还考虑死负载电流。所以通过整流管的电流,等于滤波电感电流的最大值与死负载电流之和,简单起见,在滤波电感未确定前,通过整流管的电流按(1.1~1.2)Io考虑,这里取1.2Io即
1.2Io=1.2×3=3.6(A)
加在整流二极管上反峰值电压为变压器副边电压最大值的二倍,在考虑瞬间冲击电压的影响,需增加30%左右的富余量。在实际中,变压器输出电压不高(几伏或几十伏)时,大约按负载电压的(3.5~4)倍选择整流二极管的耐压。输出110V的电源常规要求最大输出电压为121V计算,这里选负载最大电压的4倍,即
4Uo=4×121=484(V)
为提高开关速度,减小关断损耗应尽量选择反向恢复电流小,反向恢复时间短的整流元件。
最后选高速快恢复二极管MUR16600。
2.4 控制电路的选择
控制电路通常根据设计要求选择典型电路。本文选择了SG525A双端输出驱动MOS功率管的电路。控制电路的原理图主要部分如图3所示。

SG3525A的脚11和脚14交替输出脉冲驱动MOSFET管,该控制芯片各管脚功能如下。
脚1,2(IN_,IN+)误差放大器 误差放大器是差动输入的放大器。需将基准电压分压送至误差放大器脚1或脚2。
脚3(SYNC)同步 可并联多个3525A。
脚4(OUTOSC)震荡器输出 震荡器的频率由外接阻容RT、CT决定。
脚5,6(CT,RT)定时 连接定时电容、定时电阻。
脚7(DIS)放电 脚5和脚7间的外接电阻决定CT的放电。
脚8(SS)软起动 脚8可外接软起动电容。该电容由内部的Vref的50μA恒流源充电。达到2.5V所经的时间为![]()
脚9(COMP)频率补偿 脚9与地之间可接电阻与电容,以进行频率补偿。
脚10(SD)关断 采用关断控制电路进行限流控制一般用法是将过流脉冲信号送至关闭控制端(脚10)。当脚10电压超过0.7V时,芯片将进行限流操作;当脚10电压超过1.4V时将使PWM锁存器关断输出,直至下一个时钟周期才能恢复。
脚11、14(OUTA、OUTB)输出A、B 图腾柱式输出级,现确定了输出电平是高电平或是低电平,可使输出级更快地关断。
脚12(GND)地。
脚13(Vc)集电极电压。
脚15(VI)电压输入 最大输入电压40V,当
输入电压低于8V时,集成块内部电路锁定。
脚16(VREF)基准电压 精确度为5V/50mV。
3 结语
本文介绍了由SG3525A芯片作为控制电路的推挽变换电路的工作原理,推挽变换电路在一个周期里,变压器铁心的B-H磁化曲线工作在一、三象限,没有直流磁化现象,铁心利用率比较充分。高频变压器原边绕组直接施加输入电源电压E。两个绕组轮流工作,输出功率较大。此外,两个功率开关管的发射极相连,两组基极驱动电路之间无需绝缘,控制电路可以简化。
(转载)



