摘要:本文介绍如何实现高压同步电机全数字化矢量控制变频器,这种变频器有四象限运行,启动转矩大,恒转矩输出,调速范围宽,谐波小等特点。其构成为矢量控制器、移相变压器、带能量回馈的功率单元、传感器反馈用编码器;叙述了矢量控制方式,坐标变换,速度及电流控制等,通过负载试验运行结果证明了这种变频器的特点。
Abstract:This article introduces how to realize whole digital vector control of variable frequency drive for high voltage synchronous motor. This kind of VFD has many features, such as 4 quadrant running performance, big starting torque, constant torque output, wide speed adjustable range, low harmonic etc. It contains a vector controller, a phase-shifting transformer, power cells with grid feedback and an encoder for sensor feedback. The article describes the vector control mode, coordinate transformation, speed and current control etc. The features above have been proved by overload experimental running.
一、技术背景
近年来交流异步电机的调速应用得到较快的发展,与交流异步电机相比较,同步电机有着先天的优势,异步电动机由于励磁的需要,必须从电源吸取滞后的无功电流,空载时功率因数很低。而同步电动机则可通过调节转子的直流励磁电流,改变输入功率因数,可以滞后,也可以超前。当COSθ= 1时,电枢铜损最小,还可以节约变压变频装置的容量。
由于同步电动机转子有独立励磁,在极低的电源频率下也能运行,因此,在同样条件下,同步电动机的调速范围比异步电动机更宽。异步电动机要靠加大转差才能提高转矩,而同步电机只须加大功角就能增大转矩,同步电动机比异步电动机对转矩扰动具有更强的承受能力,能作出更快的动态响应。由于交流同步电机在可靠性与维护量、功率因数、电机尺寸与转动惯量、控制精度、弱磁比等方面有其自身的优势,对于大容量电机,世界各国已基本趋向于使用同步电机。比如工业应用上大功率空气压缩机、水泵、煤炭与有色金属行业中的大功率提升机和钢厂大容量轧钢机等均采用同步电机驱动。
国内大功率交流同步电机传动方面,以交-交变频调速传动为主。这些变流、变频传动装置功率大,一般为几百千瓦至数千千瓦。在水泥,采矿与矿山行业、船舶行业、冶金行业、化工,石油与天然气行业、电力行业、纸浆造纸行业、供水与污水处理、煤炭、有色金属等特别是矿山的大型矿井提升机传动与调速等领域已有较多的应用。大容量、低转速、高过载、响应快、四象限运行等传动领域主要用于矿井提升机和钢铁厂的主轧机,对变频器的控制要求特别严格这是普通异步电机及其变频器所不能解决的,在此类系统中应用的大多是大功率同步电机,我国目前在高压大功率同步电机控制系统中采用的技术主要以交交控制方式的变频为主,还有交直交方式,交交变频器由于其控制原理方式的制约,造成其功能和应用范围受限,交交变频器的结构方式把电网频率的交流电变成可调频率的交流电,属于直接变频电路,广泛用于大功率交流电动机调速传动系统。改变切换频率,就可改变输出频率;改变交流电路的导通角,就可以改变交流输出电压幅值;输出频率增高时,输出电压一周期所含电网电压段数减少,波形畸变严重,电压波形畸变及其导致的电流波形畸变和转矩脉动是限制输出频率提高的主要因素。输出波形畸变和输出上限频率的关系,很难确定明确界限。例当采用6脉波三相桥式电路时,输出上限频率不高于电网频率的1/3~1/2。电网频率为50Hz时,交交变频电路的输出上限频率约为20Hz。
还有一种变频器是交直交型高压变频器,这种变频器的驱动高压同步电机的方式目前以V/F控制为主,这种方式在一些对调速比要求不高,动态响应低的场合适用,它的控制方式是采用异步电机的控制策略,启动过程:高压同步电机先进行异步变频启动,等转速接近同步转速时,再对转子投入励磁电流,使系统进入同步转速运行。这种控制方式的缺点是,响应慢,调速比小,不能发挥同步电机的特长,不能实现四象限运行,高压同步电机输出的转矩低,起动电流大,容易失步,这种变频器只能用于负载较轻,负载变化不大的场合。
随着微电子技术的发展和应用,计算机用于控制,使交流变频控制系统由模拟式进入数模混合式,进一步发展到全数字式,实现控制方案和控制策略的软件化,在控制系统全数字化的情况下,由于改变软件即可改变控制模式和参数,这就大大提高了系统的通用性和灵活性,简化了系统的硬件结构,并可采用一些基于现代控制理论的控制算法来提高系统的性能。更重要的是,随着现代通信技术、远程控制技术、总线技术和自动化技术的发展,全数字方式是未来发展的必然趋势。因此全数字化交-直-交大功率同步电机矢量控制器的应用是未来应用的方向,这方面在我国的应用和研究还是空白,变频调整控制方法的进展主要体现在由早期的静态控制方式向高动态性能的四象限运行的矢量控制发展,采用这种控制方式可以有效的解决高压同步电机的动态响应,和调速比宽等要求,系统可以恒转矩输出。
二、全数字化矢量控制方式技术方案的原理
鉴于现有技术缺点,和要实现的技术目的,我们要实现的高压同步电机矢量控制变频器的实现由以下技术特点和单元组成,三相高压电输入移相隔离变压器,经移相隔离降压多路交流输出后,输入到带能量回馈的功率单元IGBT整流并滤波成直流再经IGBT逆变输出到同步电机;电机的位置速度传感器反馈的信号经高速串行编码传输方式传送给主控板的FPGA进行解码处理后,送给DSP进行数据运算处理;电流反馈经霍尔传感器采样,上传信号板经模拟信号处理电路滤波处理后再上传给DSP主控板的AD采样并运算;主控板与上位机的人机界面进行实时数据通信,并上报系统的各项运行参数和故障状态;输入输出信号单元板与主控制器进行通迅,处理外部输入输出信号的控制功能;系统的原理如图1所示。

图1系统原理
1、 交直交单元串联多电平方式
现在国内的同步电机变频器,大部分采用的是交交变频,和交直交变频器相比,缺点:驱动晶闸管复杂;输出频率范围低,只能达到电网频率得1/3运行;功率因数低,谐波污染严重。在一些控制场合交交变频器的原理制约了它高速上的应用不能实现和动态响应慢的缺点。
交直交方式使用移相的目的可以提高整流设备的脉波数,减小网侧高次谐波,整流变压器采用二次侧延边三角形移相,交直交方式频率调速范围宽,功率变换电路采用多电平变换器(见图2),各级功率模块采用H全桥IGBT驱动方式,由于输出电平数较多,输出波形阶梯增多,就可以使调制波接近正弦,降低电压跳变,这样谐波就少。另一个优点是输出电压的dv/dt较小,对负载电机的冲击小。如一些轧钢机,提升机,卷扬机。如果采用交交变频,必须加减速机构。而交直交可以在许可的范围内频率任意调解。这就解决了上述问题。
2、基于能量回馈的功率单元
普通高压变频器不能直接用于需要快速起、制动和频繁正、反转的调速系统,如高速电梯、矿用提升机、轧钢机、大型龙门刨床、卷绕机构张力系统及机床主轴驱动系统等。因为这种系统要求电机四象限运行,当电机减速、制动或者带位能性负载重物下放时,电机处于再生发电状态。由于二极管不控整流器能量传输不可逆,产生的再生电能传输到直流侧滤波电容上,产生泵升电压。而以GTR、IGBT为代表的全控型器件耐压较低,过高的泵升电压有可能损坏开关器件、电解电容,甚至会破坏电机的绝缘,从而威胁系统安全工作,这就限制了普通高压变频器的应用范围,基于能量反馈的系统解决上述问题,并且实现了真正的节能目标而不是浪费掉能量。
带能量回馈的功率单元,输入为移相隔离变压器副边降压绕组的三相,IGBT的控制信号为经光纤传输过来的PWM信号控制其导通和关断,输出经单元串联后到电机。原理如图2。

图2 能量回馈单元原理图
3、 数字矢量控制方式
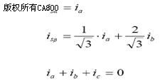
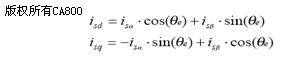
矢量控制的目的是为了改善转矩控制性能,而最终实施仍然是对定子电流的控制。由于在定子侧的各物理量(电压、电流、电动势、磁动势)都是交流量,其空间矢量在空间以同步转速旋转,调节、控制和计算均不方便。因此,需借助于坐标变换,使各物理量从静止坐标系转换到同步旋转坐标系,站在同步旋转的坐标系上观察,电动机的各空间矢量都变成了静止矢量,在同步坐标系上的各空间矢量就都变成了直流量,可以根据转矩公式的几种形式,找到转矩和被控矢量的各分量之间的关系,实时地计算出转矩控制所需的被控矢量的各分量值——直流给定量。按这些给定量实时控制,就能达到直流电动机的控制性能。由于这些直流给定量在物理上是不存在的,是虚构的,因此,还必须再经过坐标的逆变换过程,从旋转坐标系回到静止坐标系,把上述的直流给定量变换成实际的交流给定量,在三相定子坐标系上对交流量进行控制,使其实际值等于给定值。在矢量变换的控制方法中,需用到静止和旋转的坐标系,以及矢量在各坐标系之间的变换,交流同步电机的矢量控制,需要把电机的ABC三相定子静止坐标系的电流Ia、Ib、Ic、变换成α和β两相静止坐标系(Clarke变换),也叫三相-二相变换,再从两相静止坐标系变换成同步旋转磁场定向坐标系(Park变换),等效成同步旋转坐标系下的直流电流Iq、Id(Id相当于直流电动机的励磁电流);Iq相当于与转矩成正比的电枢电流),然后模仿直流电动机的控制方法,求得直流电动机的控制量,经过相应的坐标逆变换(Park逆变换)(Clarke逆变换),实现对同步电动机的控制。其实质是将交流电动机等效为直流电动机,分别对速度,磁场两个分量进行独立控制。通过控制转子磁链,然后分解定子电流而获得转矩和磁场两个分量,经坐标变换,实现正交解耦控制。例图3二极同步电机的物理模型,定子三相绕组轴线A、B、C是静止的,三相电压UA、UB、UC和三相电流iA、iB、iC都是平衡的,转子以同步转速w1旋转,转子上的励磁绕组在励磁电压Uf供电下流过励磁电流If。沿励磁磁极的轴线为d轴,与d轴正交的是q轴,d-q坐标在空间也以同步转速w1旋转,d轴与A轴之间的夹角q为变量。

图3 同步电机物理模型
三相定子绕组静止电气方程:

三相定子坐标系到两相静止坐标系的变换方程(Clarke变换)

静止坐标系到转子同步旋转坐标系的变换方程(Park变换)

Park逆变换

Clarke逆变换

α和β两相静止坐标系变换成同步旋转磁场定向坐标系d、q如图4

图4 坐标变换图
同步电机采用改进的空间矢量磁场定向控制策略,控制系统采用速度环和电流环双闭环结构,电流环采用PI调节器,实现简单,并能获得较好的电流跟踪性能。速度环采用PI调节器,能有效地限制动态响应的超调量,加快响应速度。系统采用转速、电流双闭环调速系统;系统全数字式的关键是电流环数字化,就是把数模混合式变频系统中的模拟电流环,采用数字方式加以实现,其核心提高电流环的处理速度,达到或接近模拟电流环的响应速度。根据目前的微处理器DSP、A/D器件的水平,可以满足硬件的需要;另一方面在于控制策略及控制软件的优化。良好的系统硬件和软件设计是使研制的系统达到实用化的保证,在满足性能要求的基础上,必须充分利用硬件资源,提高集成度降低硬件成本,达到产品化的目标。
矢量控制系统的解耦, 速度给定ω与速度反馈相减得出速度误差,速度误差经PI调节后输出转矩电流给定iq,id励磁电流给定是根据系统的动态需要进行调整其值根据不同的电机和负载得出的经验值,电机三相电流反馈ia、ic、ib经传感器采样,然后再根据转子位置电气角度θ进行Clarke变换,变换后输出ialpha、ibeta, ialpha、ibeta经Park变换输出id、iq,id、iq值与给定值iqref、idref求误差,进行PI调节后输出Vq、Vd, 电压矢量和转子位置电气角度θ经过Park逆变换Clarke逆变换输出电机定子三相电压Va、Vb、Vc值,三相电压Va、Vb、Vc值作为PWM(脉宽调制)的比较值比较输出PWM波形到逆变器然后驱动电机旋转。
整个系统的控制原理框图如上图5所示。

图5 矢量控制原理图
本方案的同步电机的励磁电流是If是按照固定励磁电流给定方式工作,对于同步电机的转子励磁电流If的给定,通过对同步电机的空载特性试验和短路同性实验,测出电机的各项参数并计算出所需运行的额定励磁电流,此时根据额定的励磁电流If调节定子侧的去磁电流Idref就可以调节系统的功率因数,功率因数角δ=arctan(iq)/(id),控制Idref就可以使得系统是运行在功率因数超前还是滞后。
1)硬件主控实现部分
系统的软硬件控制如图5,由DSP数字信号处理器作为主控CPU,可编程逻辑器件实现部分算法的计算和波形发生及各种信号的处理,AD采样处理电流电压反馈信号并传到DSP,单元与主控板CPU的通信采用光纤串行高速通信方式,单元的状态信息经可编程逻辑器件进行串行编码后通过光纤发送到主控制器的接收板,主控制器接收板进行串行到并行解码后传输到主控CPU;主控CPU根据单元状态信息,调整系统的控制状态;速度与位置传感器的信号经传感器板可编程逻辑器件进行串行编码后经高速串行传输到主控器板的可编程逻辑器件,可编程逻辑器件对传感器反馈的速度位置信号进行运算处理,测速方式采用变M/T测速,可以实现高精度的测速要求,可编程逻辑器件计算出速度和位置的有效值,并对传感器检测有无故障状态,上报主控CPU,同时主控CPU可以根据测速的要求动态调整测速方式和时间;本系统中的电流检测元件选择了根据磁场补偿原理制成的霍尔效应电流互感器,以满足实时监测电流的要求,电机的三相电流和电压信号经信号调理电路处理后,变成模拟电压信号输入到主控板的AD转换芯片,该AD芯片可以在瞬时情况下对三相的电压电流信号进行采样保持并转换,这样能保证真实的再现电机瞬态三相电压电流的波形,AD转换芯片采样完成后上传三相的数据;主控制CPU与上位系统采用的是RS232通讯模式,实时的接收上位机给定的各项参数设定值,并上报整个系统的运行状态和各项数据;系统的外部I/O输入输出经隔离传输到主控CPU的I/O口,主控CPU根据控制要求作出相应的执行控制;AT25128是串行EEPROM与主控CPU通信采用SPI方式,EEPROM主要起着保存上位系统各项设定参数值和存储系统的一些运行状态信息;主控CPU采用的是DSP 它是TI公司C2000系列的TMS320LF2407A,DSP是一种高速的微处理器,其最大特点是运算速度快,比目前16/32位微处理器和单片机的运算速度至少快一个数量级,DSP这种高运算处理能力能够满足电流环实时控制的高要求,可以同时对电机的转子位置和速度进行辨识以实现无速度传感器矢量控制要求,并且可以采用先进的现代控制策略,获得更高的控制性能,更完善的功能;整个硬件的原理框图如图6所示。

图6 主控制器结构图
2)可编程逻辑器件的实现原理
单元模块与主控制器的通讯采用光纤串行高速通讯模式,其通讯速率为4MHz这样可以满足实时控制要求,每个模块与主控制板通讯采用双工模式,可编程逻辑器件发出的PWM波形信号经编码后并串转换,通过光纤驱动发送到单元模块,同时可编程逻辑器件接收单元的串行编码进行串并转换,把单元的状态信息和故障信号以中断方式上传给主控DSP,具体如图7。
|
|
|
|
|
|
|
|
传感器信号的测速,对串行输入的编码进行解码输出电机转子的位置信号数据,根据传感器的转速脉冲信号进行测速,测速方式采用变M/T测速,根据测速的M值与T值进行数据运算得出转子的转速,由于采用了可编程逻辑器件硬件逻辑测速方式,使得测速范围很宽和精度很高,能够满足系统精度要求。
PWM信号生成,根据DSP运算输出的的数据可编程逻辑器件用高速时钟生成数据,并进行单元串联的PWM波形移相,输出到光纤发送模块。
由于系统采用全数字化控制方式,所有的控制策略全由软件编程来实现,因而,软件的设计决定着整个系统的性能。控制策略采用转速、电流双闭环系统,其中转速环采用PI调节、电流环采用PI调节,算法由DSP数字信号处理器软件编程实现。速度环的输入是速度反馈和速度给定的差值,输出作为电流环的给定。电流环的输出来控制PWM波形生成器,所生成的PWM波形控制逆变器中功率开关器件的通断,以实现对电机的调速。整个软件处理系统采用前后台处理模式,程序的中断服务采用嵌套处理的形式,以保证整个系统实时信号的处理,中断源有4种,包括系统保护中断,片内电流环定时处理中断,速度环定时处理中断,外部通讯中断;
软件系统上电进行初始化,关中断清各种标志位,配置DSP的各个外设模块和I/O口,读取EEPROM中的参数信息,计算电机的位置信号和电角度,延时检测高压上电否?进入系统主循环;
系统保护中断,检测单元模块的故障状态和系统的保护中断,在出现过流、过压、PLC等故障时,系统关断IGBT的输出并停机上报系统的故障信息;
系统主流程,系统上电后,对系统的RAM空间和各项外设模块进行参数设定,对RAM清零,接着对外部I/O和PLC进行复位初始化,从EEPROM中读取初始电机的转子定位信息,检测高压是否就绪如就绪开放各种中断进入主循环,否则一直检测高压就绪状态信息直到高压就绪。主流程如图8。

图8 主程序流程图
3)电流环和速度环
速度环与电流环中断处理,实时监测系统的转速信息,速度给定由人机界面设置输入,检测电机的运转状态和加减速时间的各项参数值计算出当前的速度给定,根据给定速度指令与速度反馈计算误差并进行PID调节,然后输出iqref,根据设定的转矩电流最大最小值限制iqref值,输出iqref到电流环做为转矩电流指令的给定,霍尔传感器检测ia,ic两相电流反馈值,计算出三相电流反馈值,根据位置速度传感器反的转子位置计算当前转子的位置电角度θ,由ia、ib、ic进行CLARKE输出iα和iβ,由iα、iβ进行PARK变换输出iq、id,根据速度环输出得转矩给定和去磁电流给定与反馈值求误差并进行PI调节输出Vq、Vd,由Vq、Vd进行PARK逆变换输出Vα、Vβ,由Vα、Vβ进行CLARKE逆变换输出Va、Vb、Vc,输出三相Va、Vb、Vc PWM的占空比值到FPGA;驱动波形通过FPGA的PWM波形发生模块输出到光纤驱动器,经光纤传输到各个功率单元模块控制IGBT的开关。部分流程如图9。

图9速度环流程
三.实验验证
上述的技术方案经过产品化后验证整个设计方案是可行的并在不同的设备上进行了技术测试和考核。
例一:试验设备 6000V、630KW、6极的同步电机,在该设备上得到了测试验证,整个系统的运行频率低速可以达到0.01Hz运行,高速可以达额定转速的1.5倍频率运行,低速转矩特性平稳 ,可以运行在0Hz恒转矩,整个系统的功率因数可调,如图10,图11。

图10 6000V、630KW、6极同步电机

图11负载电机输出波形
例二:试验设备 6000V、630KW、36极的球磨机同步电机,图10是在球磨机同步电机负载上做实验的记录波形,在球磨机负载实验过程,系统在重载情况下启动,变频器的输出波形很平稳,系统的启动过程均匀加速,而且无冲击电流。从图中可以看出电流超前于电压,系统运行在功率因数超前状态。而原来的球磨机同步电机起动过程是用水电阻启动,冲击电流大超过额定负载电流的3倍,对电网的危害较大,改成同步电机矢量控制变频器后有效的解决了启动运行问题。如图12、图13、图14。

图12 负载输出波形

图13 驱动球磨机的同步电机

图14 水泥厂用球磨机
本文引用:《电机学》电子工业出版社. Charles ,《交流同步电机调速》科学出版社. 李崇坚,
(转载)




