关于电机寿命的问题,下面的解释是否可以?
电机的寿命由轴承、电磁线、磁钢的寿命决定,额定使用条件下,寿命最短的是轴承。
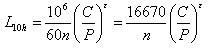
轴承寿命公式:
(小时)
(注:以上公式适用于轴承工作时温度低于120°)
C是基本额定动负荷(轴承的基本参数),单位N
P是当量动负荷(轴承工作时所受的外载荷),单位N
n为代表轴承的工作转速(电机转速)(r/min)。
ε为寿命指数,对于球轴承ε=3;对于滚子轴承ε=10/3。
由以上公式可以看出轴承的使用寿命与转速和轴承工作时所受的外载荷有关,即转速越高、外载荷越大,则寿命越短。
在不变的径向和轴向载荷作用下,当量动载荷P的计算公式是:

强大冲击为1.8~3.0
另外,所受外载荷冲击力越大,则寿命越短。
(转载)



