根据自动变速器各组成部分的功能,将自动变速器分为液力变矩器、行星齿轮传统子系统、液压控制子系统、电子控制子系统四个部分,对各部分分别论述了目前建模仿真方法。最后建立典型自动变速器液压控制系统和行星齿轮机构在AMESim环境下的仿真模型,并进行了动态分析。
1 前言
随着我国汽车行业实施自主创新,新产品的研发成为我国汽车工业的重点。在产品的研发阶段采用模拟仿真技术具有缩短研发时间、减少研发经费开支等优点。因此模拟仿真作为汽车研究与设计部门的一种有效方法而被广泛采用。
自动变速器(AT)相对手动变速器(MT)具有容易驾驶、减轻驾驶员疲劳、换档平顺、减少排放、通过性好等一系列优势,而被越来越多装备于车辆上,汽车自动传动也是未来汽车发展的方向。国内,吉林工业大学于80年代中期开始对机械式自动变速器(AMT)进行了深入的研究,并于93年完成了试验样车鉴定[1]。同济大学对自动变速器液压控制系统及行星齿轮传动方案做了深入研究[2]-[5]。吉利汽车也于今年通过了我国第一台自主研发且批量生产的自动变速器评审鉴定。但是我国对自动变速器的研发技术水平相对国外处于落后阶段。
自动变速器作为实现汽车自动传动技术的最关键总成之一,是集机械、液压、电子于一体的复杂系统。在自动变速器开发阶段借助模拟仿真技术是研究自动变速器的有效手段。研究自动变速器模拟仿真方法对于我国自动变速器自主研发具有重要意义。
本文对自动变速器各组成部分建模的各种方法进行了归纳和总结。最后利用机械、液压等领域的专业建模软件AMESim (Advanced Modeling Environment for performing Simulations of engineering systems)对典型自动变速器进行了模拟仿真研究。
2 自动变速器动力学分析方法
对自动变速器进行模拟仿真,首先需要对自动变速器建立比较准确的数学模型。由于自动变速器的复杂性,按照各组成部分的作用将自动变速器分为四个子系统:液力变矩器、行星齿轮传统子系统、液压控制子系统、电子控制子系统。
2.1 液力变矩器
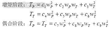
液力变矩器是自动变速器上不可缺少的重要组成部分,起着将发动机与行星齿轮传动系统的“柔性”连接的作用。Kotwicki在文献[6]中提出了拟合变矩器外力矩特性曲线为:

式中:TP、wP——变矩器泵轮扭矩与角速度;
TT、wT——变矩器涡轮扭矩与角速度;
wi——变矩器外特性系数。
2.2 行星齿轮传动系统
常用的复合式行星齿轮机构有辛普森式、拉维纳式和CR-CR等形式。
对于行星齿轮机构的动力学分析方法有:杠杆分析法(The Lever analogy)[7]、键合图分析法(Bond graph)[8]以及传统的数学建模法。以CR-CR结构为例分别建立其杠杆分析模型和键合图分析模型。
杠杆分析法是将一个行星排等效为一根杠杆和三个支点。对于单行星行星排,中间支点为行星架(PC),两端支点分别为太阳轮(S)和齿圈(R)。对于双行星行星排,中间支点为齿圈(R),两端支点为PC与S。支点S、R距支点PC的长度(力臂)分别与齿圈齿数KZR和太阳轮齿数KZS成正比(K为比例常数)。图1(a)、(b)分别是单行星行星排和双行星行星排的等效杠杆图。图2(a)、(b)分别是CR-CR行星齿轮结构图与等效杠杆图。


键合图是Paynter教授创立的,被广泛地应用于建立机械、液压、电气等系统的数学模型,特别是机、电、液联合作用的综合系统。键合图根据能量守恒定律,利用四个广义变量,九个键图元件,根据功率流在传递过程中发生的耗散、贮存、转换及串联、并联结点型式,统一处理不同能量范畴的各种子系统之间相互作用关系的。基于此,利用键合图分析方法对自动变速器建模具有一定优势。图3是CR-CR行星齿轮结构的键合图。

根据行星齿轮结构的等效杠杆图或键合图就可以对行星齿轮结构进行动力学分析。文献[9]将杠杆分析法推广为行星式变速器动力学分析的通用方法;文献[10]利用杠杆分析法对典型四档自动变速器进行了换档分析。文献[11]利用键合图分析方法对自动变速器进行了换档动力学分析并建立了数学模型。
传统的数学建模法,就是依次对行星齿轮机构各个部件(太阳轮、行星架、齿圈)建立运动微分方程,再根据它们之间的结构约束,建立整个行星齿轮结构的数学模型。文献[12]和文献[13]运用数学建模法分别对CR-CR式行星齿轮变速器和拉维纳式行星齿轮变速器建立了动力学方程,并进行换档过程动力学分析。
2.3 液压控制系统
自动变速器液压控制系统结构组成复杂,根据各部分功能,分为供油调压和流量控制系统、换档控制系统、换档品质控制系统和液力变矩器油路系统。由于供油调压和流量控制系统、换档品质控制系统和液力变矩器油路系统采用脉冲控制电磁阀进行压力调制,故液压控制系统严重的非线性,很难对液压控制系统建立准确有效的数学模型。文献[14]、[15]对自动变速器电液控制系统各子系统典型控制元器件工作原理建立了正常工况下的稳态数学模型。文献[3]对典型自动变速器液压控制系统利用AMESim建立了供油调压和流量控制子系统模型,并进行了动态响应分析。
2.4 电子控制系统
随着现代控制理论的迅速发展,很多控制理论(如模糊控制、神经网络理论)被用于汽车自动变速器自动换挡控制。通常,汽车自动变速器电子控制单元以车速与发动机节气门开度为换档控制信号。葛安林教授提出了更适合车辆实际工况的动态三参数换档规律。即在原有的车速和发动机节气们开度两信号的基础上,增加汽车加速度信号,作为换档决策的信号之一。Oliver Nelles在文献[16]提出了基于模糊逻辑的自适应换档控制,可以解决燃油经济性与动力性的矛盾。Tomokau Inagawa等在文献[17]中提出了利用来自汽车导航系统的路面信息来综合控制自动变速器换档,可以减少不必要的升降档,提高了汽车行驶平顺性和燃油经济性。申水文提出了在自动换档控制中增加道路坡度和弯度信息,利用模糊逻辑在线修正B.A.彼得罗夫二参数换档规律[18]。文献[19]利用扭矩状态观测器实现自动变速器扭矩反馈控制来提高换档品质。文献[20]对自动变速器利用基于扭矩的自适应滑模状态观测器来对换档执行器油压强度进行控制,以提高换档品质。
自动变速器电子控制系统通过CAN总线技术与发动机、ABS控制系统等实现信息共享,将是未来汽车电子控制技术发展的方向。汽车自动变速控制系统以实现自动换档拟人化、智能化为目标。
3 AMESim模拟仿真
从上述分析可知,对自动变速器建立有效的数学模型,包括其换档过程的模型,需要专业工程师对自动变速器进行深入分析,并且需要大量时间。而借助有效的专业软件对自动变速器进行模拟仿真研究,可以节省对自动变速器建立数学模型的时间。
AMESim是法国Imagine公司推出的液压/机械系统建模、仿真及动力学分析软件。AMESim在机械、液压等领域建模、仿真方面的优势,被国外汽车公司与研究单位广泛采用。AMESim除了拥有机械、液压模型库外,针对变速器的模拟仿真,专门开发了一个传动系(Powertrain)模型库。借助AMESim可以简便地对自动变速器建立模型,并进行动态响应分析。
图4是利用AMESim液压元件设计库及传动系统元件库建立的典型自动变速器部分液压控制系统与行星齿轮传动系统组成的AMESim仿真模型。其中供油调压和流量控制子系统运用了AMESim液压元件设计库(HCD,Hydraulic Component Design)对每个液压阀根据其功能与结构进行建模;换档控制液压子系统则运用逻辑判断组建换档阀,再利用高级子模型封装技术,对三个换档阀进行了封装;行星齿轮机构则根据传动系统设计库建立模型。

对自动变速器在预选杆处于OD位置进行模拟仿真。模拟时间设定规定如下:Ⅰ档:0-5s;Ⅱ档:5-12s;Ⅲ档:12-20s;Ⅳ档:20-30s。图5是供油调压、流量控制子系统输出的油压,供换档执行器(离合器、制动器)结合或分离及液力变矩器所用。图6、7、分别是各档执行器结合油压。图8是发动机输出轴与行星齿轮机构输出轴(后排行星架)的转速图。0-12s:汽车处于1档及2档,输出轴转速明显低于输入轴转速,汽车处于减速行驶(转速比i>1);12-20s:汽车处于3档,输入轴转速等于输出轴转速,汽车处于直接档(转速比i=1);20-30s:汽车处于4档,输入轴转速低于输出轴转速,汽车超速行驶(转速比i<1)。图9是各档汽车速度曲线图。图10是汽车加速度曲线图,可以看出,汽车换档时加速度变化比较大,尤其在1档升2档时,加速度变化最大。


4 结束语
根据自动变速器各组成部分结构及功能,通过AMESim软件内含的机械、液压、电子控制等领域的最基本单元可以相对简便地构建自动变速器仿真模型。通过仿真结果分析,所建模型基本符合实际情况。
采用AMESim对自动变速器进行仿真研究,可以减少对自动变速器建立仿真模型的时间,同时所建模型不失准确性,是对自动变速器进行仿真研究的有效方法。
(转载)



