
无论Q1、Q2、Q3、Q4,它的开通均在短暂的死区时间td以后发生。对于超前桥臂(Ql、Q3}}当它关断时,在死区时间td内的续流电流不经过电源vin,形成Q1与Q2,或Q3与Q4之间的短路电流,这种电流变化不激烈,在短暂的td内,不会在副边形成反向电压,因此二极管Dai,D}的通断情况不会改变。副边将只有1只二极管导通,这时,具有大电感值的输出滤波器电感Lo反射到原边。若变压器的漏感为乙;,则参与原边谐振的电感量为
,原边电感储能为:
(Wmag为变压器的励磁能量),这较大的电感储能迅速的在死区时间td内对相应并联电容充放电,使经过ld时刻后相应的超前桥臂开关管开通时处于零电压状态。
但是,对于滞后桥臂(Q2、Q4},当它关断时,在死区时间td内的续流电流反向经过电源vin,续流电流急剧下降。这种电流的急剧变化,在副边形成较大的反向电压,导致二极管DRI或Dx2中未开通的那只二极管开通,而原己开通的二极管因有一段复合时间未全关断,在副边形成DR,和DR:同时开通,形成通过2个二极管短路的状态。这样便切断了副边反射电感n2Lo,使参与原边谐振的电感量剧减到只剩下1.r,电感储能相应急剧减少,使在死区时间td内相应并联电容充放电的过程减缓,在经过Zd时刻后,相应的滞后桥臂开关管开通时不能处于零电压状态,无法实现零电压开关。
从以上分析可以看到,滞后桥臂开关管开通时不能处于零电压的原因在于它开通之前的续流电流要反向通过电源,使续流电流急剧下降。在副边形成反压,导致2个二极管同时导通,切断了副边反射电感之故。为了解决这个问题,在原边,可以用2个方法:一是人为增大电感,增加电感储能,显然这个方法很不好;另一个办法是另辟续流通道,使续流电流不反向通过电源,不形成电流急剧下降的局面,也就不会使副边2个二极管处于同时导通的局面,能充分利用反射电感,只是线路会复杂一些。也可以在副边想办法:一用可控的开关管来代替不可控的二极管,确保副边最多只开通1只管;二用电感来短暂承担负压,使原边相应电容放电完毕之前,都确保只有1只二极管导通,以使较大的Lo电感能在原边电容充放电过程中能反射到原边。由于这2种方法都能保证在原边电容充、放电时,变压器的副边二绕组中,总有1组的电流籍位为零(即总有1只管不导通),因此这种电路也可称为“变压器副边电流箱位DC/DC全桥变换器”。
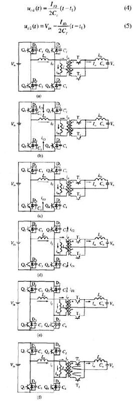
本文重点讨论这2种方法。其拓扑线路见图3,图4。图3在副边采用开关管代替二极管,为抑制尖峰,并加接了尖峰抑制器;图4是在原有二极管的线路中,加接饱和电感器。图中L;为变压器的漏感,Rsi, RS:为尖峰抑制器,Lsi , LS:为饱和电感器。这2种电路的工作原理相似:依靠变压器副边电流箱位,超前桥臂(Ql 、Q3)和滞后桥臂(Q2、Q4)均利用励磁电流和负载电流实现zvs,并且使用了尖峰抑制器和饱和电感器,很好地消除了变压器原副边电压、电流尖峰。

副边电流箱位电路的工作原理
由于上面提出的2种电路工作原理相似,因此主要对第1种变换器的工作原理进行分析。尖峰抑制器是用来抑制电流、电压尖峰的。为了便于理论分析,先不考虑其影响,将其去掉,如图5所示。图中,Ql一q,T, } T:为变换器开关管;玲为变压器原边电压;lp为原边电流;Vrecc为变压器副边整流后的电压。图6为变换器的主要理论波形。图中,QWQa} T> > T:为相应开关管的驱动波形;i。为励磁电流;td为死区时间;“为移相角。
分析前作如下假设:①所有开关管,续流二极管,电感,电容均为理想器件;②变压器变比为K}漏感L;远小于输出滤波电感Lo;③开关管QWQ4并联电容均为Cr,开关管T}v T不并电容。
(1) 开关模态。[to时刻]
在to时刻,Qa " Qa" T}导通。原、副边电流回路见图7(a)。由于滤波电感足够大,可以将它看成一个电流源。此时,原边电流I,o=I?,o+lo/K, la是输出负载电流,瓜。是t0时刻的励磁电流。
(2) 开关模态1 [to, t,]
在to时刻关断QI,原边电流i,从Ql中转移到C," C3支路中,给C:充电,同时C3被放电,如图7(b)所示。由于有C," C3, Q,为零电压关断。在该时段里,变压器原边漏感L;和滤波电感Lo是串联的,而且L。很大,因此可认为原边电流ii近似不变,类似于一个恒流源,其大小保持为I,o=I?}p+lo/K, C,的电压线性上升,C3的电压线性下降,即
(3)开关模态2 [t,, t2]
D:导通后,开通Q3是零电压开通,如图7(c)所示。Q:与Q1驱动信号之间的死区时间td }tp, o
在这一时刻段中,变压器原、副边电压均为零,励磁电流}m保持最大值Imm不变。
(4)开关模态3 [t2, t3]
在t2时刻关断Q4,原边电流从Q4中转移到q、C4支路中,给q充电,同时CZ被放电,如图7(d)所示。由于有CZ v C4 s Q4为零电压关断。
Q4关断后,T:还没有开通,负载电流继续流经变压器和T1管,变压器原、副边电压开始反向。整流后的电压味,开始变为负值。
由于T:没有开通,变压器副边绕组下半部分电流被箱位在零。变压器原边漏感1,r和滤波电感L。仍然是串联的,输出滤波电感足够大,原边电流l,仍近似不变。C4的电压线性上升,C2的电压线性下降。


到t3时刻,c2上的电压下降到零,Q:的反并二极管D:自然导通。该模态的时间为
![]()
由公式(6)可以看出,滞后桥臂(Q2、Q4)和超前桥臂(Q1` Q3)具有相同的转换速度。负载电流和励磁电流均参与转换。
(5)开关模态4' }t3, Z4J
D:导通后,开通Q:是零电压开通,如图7(e)所示。由于t23- t01,因此Q2 ` Q;驱动信号之间的死区时间可以设计得与QI ` Q3相同。
在这一时间段,原边电流仍然基本不变,整流后电压vrec,也保持不变,其大小为
(6)开关模态5 fta} t51
在t4时刻同时开通Qz" T2. T:开通后,变压器副边上、F绕组同时导通,原边电流LP迅速下降,过零后反向增长,同时整流后的电压Vrec,也开始下降,过零后正向增加,如图7('/所示。
(7)开关模态6 fts, tbl
到‘时刻,原边电流ZP增长到IP I}IK,整流后的电压增长到v;?}。变压器原边向副边传递能量,如图7(g)所示。
t6时刻关断Q3,电路进入下半个工作周期,工作情况与上半个周期相同。
变压器副边使用饱和电感器的电路(图4)工作原理与上述的情况基本相同,区别在于:图3电路中,t:时刻关断Q4后,变压器副边绕组下半部分电流箱位是由开关管T:控制的,箱位时间大于死区时间;而图4电路使用的是饱和电感器,当变压器原、副电压开始反向后,由于饱和电感器L}还没有进入饱和,作大电感运行,将副边绕组下半部分电流籍位在零,副边电压基本都加在L}上,但是饱和电感器的箱位时间是由其本身决定的,如果箱位时间太短,那么滞后桥臂就不能完全是ZVS。
(转载)



