①输出为脉冲频率,其频率与被测流体的实际体积流量成正比,不受流体组分、密度、压力、温度的影响;
②测量范围宽,一般范围度可达10:1以上;
③精确度为中上水平;
④无可动部件,可靠性高;
⑤结构简单牢固,安装方便,维护费较低;
⑥应用范围广泛,可适用液体、气体和蒸汽。
涡街流量计的工作原理
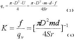
在流体中设置旋涡发生体(阻流体),从旋涡发生体两侧交替地产生有规则的旋涡,这种旋涡称为卡曼涡街(见图1),旋涡列在旋涡发生体下游非对称地排列。根据卡曼涡街原理,有如下关系式:
式中,m为旋涡发生体两侧弓形面积与管道横截面面积之比;D为表体通径;d为旋涡发生体迎面宽度;f为旋涡的发生频率;U1为旋涡发生体两侧平均流速;Sr为斯特劳哈尔数;U为被测介质流的平均速度。

图1 卡曼涡街

式中, K为流量计的仪表系数,单位为脉冲数/m3。

式中,qVn、qV分别为标准状态下(0℃或20℃,101.325kPa)和工况下的体积流量; Pn、P分别为标准状态下和工况下的绝对压力;Tn、T分别为标准状态下和工况下的热力学温度;Zn、Z分别为标准状态下和工况下气体压缩系数。

图2 斯特劳哈尔数与雷诺数关系曲线
由式(4)可见,涡街流量计输出的脉冲频率信号不受流体物性和组分变化的影响,即仪表系数在一定雷诺数范围内仅与旋涡发生体及管道的形状尺寸等有关。但是在物料平衡及能源计量中需检测质量流量,这时流量计应同时监测体积流量和流体密度,流体物性和组分就会对流量计量产生直接影响。
涡街流量计由传感器和转换器两部分组成,如图3所示。传感器包括旋涡发生体(阻流体)、检测元件、仪表表体等;转换器包括前置放大器、滤波整形电路、DAC、输出接口电路、端子、支架和防护罩等。近年来智能式流量计还把微处理器、显示通信及其他功能模块装在转换器内。

图3 涡街流量计
在现场中的应用
在现场中的应用
1 现场应用
涡街流量计适用的流体比较广泛,但不适用于低雷诺数(ReD≤2×104)流体。因为在低雷诺数时,斯特劳哈尔数随着雷诺数而变,仪表线性度变差。同时,含固体微粒的流体对旋涡发生体的冲刷会产生噪声,其含有的短纤维若缠绕在旋涡发生体上将改变仪表系数。
涡街流量计在混相流体中的应用如下:
①可用于含分散、均匀的微小气泡,但容积含气率应小于7%~10%的气、液两相流,若容积含气率超出2%就应对仪表系数进行修正。
②可用于含分散、均匀的固体微粒,含量不大于2%的气固、液固两相流。
③可用于互不溶解的液液(如油和水)两组分流等。
脉动流和旋转流会对涡街流量计产生严重影响。如果脉动频率与涡街频率频带合拍可能引起谐振,破坏正常工作和设备,使涡街信号产生“锁定(Lock-in)”现象,这时信号会固定于某一频率。“锁定”与脉动幅值、旋涡发生体形状及堵塞比等有关。
涡街流量计的精确度对于液体大致在±0.5%R~±2%R之间,对于气体在±l%R~±2%R之间,重复性一般为 0.2%~0.5%。由于涡街流量计的仪表系数较低,频率分辨率低,口径愈大精度愈低,故仪表口径不宜过大(DN300以下)。
范围度宽是涡街流量计的特点,但重要的一点是量程下限的流量数值。一般液体平均流速下限为0.5m/s,气体为4~5m/s。涡街流量计的正常流量最好在正常测量范围的1/2~2/3处。
涡街流量计的最大优点是仪表系数不受测量介质物性的影响,可以由一种典型介质推广到其他介质上。但由于液、气的流速范围差别很大,导致频率范围亦差别很大。处理涡街信号的放大器电路中,滤波器的通带不同,电路参数亦不同,因此,同一电路参数不能用于测量不同介质。
另外,气体和液体的密度差别很大,而旋涡分离时产生的信号强度与密度成正比,因此信号强度差别亦很大。液、气放大器电路的增益、触发灵敏度等皆不相同,压电电荷差别大,电荷放大器的参数也不相同。即使同为气体(或液体、蒸汽),随着介质压力、温度、密度不同,使用的流量范围不同,信号强度亦不同,电路参数同样要改变。因此,一台涡街流量计不经硬件或软件修改,改变使用介质或改变仪表口径是不可行的。
2 安装注意事项
涡街流量计属于对管道流速分布畸变、旋转流和流动脉动等敏感的流量计,因此,对现场管道安装条件应充分重视,严格遵照使用说明书执行。

图4 测量含液体和含气液体的流量仪表安装
涡街流量计必须保证上、下游直管段有必要的长度(见图5)。

图5 涡街流量计对上、下游直管段长度的要求
在图5中,a为一个90°弯头,b 为同心扩管,c为同心收缩全开阀门,d为不同平面两个90°弯头,e为调节阀半开阀门,f为同一平面两个90°弯头。

图6 传感器与管道的连接
① 上、下游配管内径D与传感器内径D’相同,其差异满足下述条件: 0.95D≤D’≤1.1D;
② 配管应与传感器同心,同轴度应小于0.05D’;
③ 密封垫不能凸入管道内,其内径可比传感器内径大1~2mm;

图7 旁通管道示意图
⑤ 减小振动对涡街流量计的影响应该作为涡街流量计现场安装的一个突出问题来关注。首先,在选择传感器安装场所时尽量注意避开振动源;其次,采用弹性软管连接在小口径中可以考虑;第三,加装管道支撑物是有效的减振方法。
电气安装应注意传感器与转换器之间采用屏蔽电缆或低噪声电缆连接,其距离不应超过使用说明书的规定。布线时应远离强功率电源线,尽量用单独金属套管保护。应遵循“一点接地”原则,接地电阻应小于10Ω。整体型和分离型都应在传感器侧接地,转换器外壳接地点应与传感器“同地”。
3 现场常见故障现象、原因及排除方法
结语
(转载)



