引言
交流变频调速技术用于平移机构时,它的起、制动平滑性非常好,平稳无冲击不打滑,调速范围宽,可靠性高,现已广泛应用于水电站起重设备上。为防止制动过程中变频器出现直流过压故障,习惯做法是在变频器的直流侧加装制动斩波器和制动电阻器。根据笔者的设计和调试经验,认为:对于不同类型的起重设备和运行工况,仔细计算后在有些情况下可以省略制动单元。合理设计选用制动斩波器和电阻器,可以降低成本以及安装调试的工作量。因此,从以下几个方面来描述平移机构变频调速系统制动单元的设计。
1 平移机构的制动功率
机构在运行过程中,电机速度始终跟随变频器的输出频率。制动时,在输出频率下降的瞬间,旋转磁场的转速(同步转速)会立即下降,但由于拖动系统惯性缘故,电机转子 的转速不可能立即下降。于是,转子的转速超过了同步转速,电动机处于短暂的发电状态,并产生制动作用。这个制动过程是一种能量转换过程,平移机构作水平运动,只有动能无势能,当动能减为零时运行的物体停下来。物体在制动过程中将产生的动能转换为功。
根据物理学的动能原理。 


可以看出制动功率只占总功率的5%左右,也就是说平移机构制动时实际所消耗的功率是很小的。
2 制动单元的选用
制动单元包括制动斩波器和制动电阻器,是保护变频器的主要器件。电机处于发电运行状态时,产生的再生能量将导致变频器的直流母线电压上升,当变频器的中间回路电压超过特定的阈值时,制动单元就开始工作,接通制动电阻消耗制动功率,变频器的直流母线电压就会被限定在一定范围内。既然制动功率很小,那么制动单元是否可以取消?下面分两种情况说明。
2.1 用于设备安装的桥式起重机
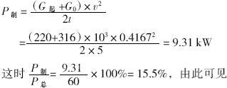
如水电站厂房桥机,这类设备主要用于水轮发电机的安装。它的特点是:桥机高度低,稳定性好,惯性力小。但是,它定位精度要求高,起、制动频繁,制动时间短,要求能够快速起、制动,平移机构的运行速度在20~28 m/min。以例1 为例平移速度取25 /60 =0.416 7 m/s,制动时间取5 s。 
这个比值大大上升了。据有关资料介绍,变频器的再生制动力为额定转矩的10%~20%。所以安全起见,这类设备上的变频器就必须配置制动斩波器。
有的变频器在一定功率范围内,厂商已经将制动斩波器集成在变频器内,不需要单独选型。另有一些公司变频器的制动单元是可选件,需要单独选型配置。选型时,制动功率一般≥20%变频器额定功率都可以满足制动过程的要求。
2.2 用于启闭闸门的门式起重机
这类起重设备主要用于水电站各种闸门的开启和关闭。它的特点是门架高(我厂制作的门座机中最高可达39.61 m),虽然惯性力大,但平移机构运行速度慢,一般不超过20 m/min,为了减小制动过程中的惯性力对门架的冲击,设计的制动时间比较长,一般都不会低于10 s,而且起制动不频繁,它定位精度低。由前面计算可见,制动功率与制动时间成反比,制动时间越长所需的制动功率就越小,产生的再生能量不会导致变频器的直流母线电压上升至跳闸极限。所以,在这类设备中就可以不配置制动斩波器。
例2 2004 年我厂为广西两个电站设计制造了两台门机,这两台门机平移机构的变频器上都未设置制动单元。四年来,这两台门机运行状况良好,从未出现过直流过压故障。
一台是2×280t/60 t双向门机,门架高33.5m,平移速度为19.9 m/min,由8台变频电机驱动,总功率为7.5×8 = 60 kW,由一台Siemens 公司的6SE6440 变频器集中驱动,功率为75 kW,变频器的制动时间设置为10 s。
另一台100 t/30 t双向门机,门架高20.8 m,平移速度为18.33 m/min,2 台变频电机驱动,总功率为7.5×2 = 15 kW,由一台功率为18.5 kW 的ABB 公司ACS800 变频器集中驱动,变频器的制动时间设置为8 s。如果减速时间过短,ACS800 变频器会自动延长减速时间,以防止直流过压。
3 制动电阻器的选用
首先计算制动电阻阻值。前面计算出的平移机构电机的制动功率,就是电阻器消耗的功率。由制动功率得出制动电阻阻值为 
在实际工作中,平移机构制动电阻投入工作的时间很短,变频器的温升远远小于其额定温升。
因此,根据制动电阻值Rb 和制动电流IC,按25%的暂载率来选择电阻器即可满足制动要求。
最后选择电阻器。电阻器的种类较多,不同型号由不同种材料制成,根据应用的环境和工况来选用。
ZX2 系列电阻器是由康铜丝绕在带绝缘瓷槽的铁板上制成。它的特点是:电阻值大,温度系数小,电流容量小,价格较贵。
ZX10、ZX12系列电阻器是由铁铬铝材料制成的,它电流容量大,但是电阻值小,功率小(4.6 kW),价格较低。将铁铬铝带在绝缘瓷槽绕成螺旋形电阻元件,其阻值稳定,抗震性好,可靠性高。铁铬铝带制成的带形电阻元件的电感要小一些。
ZX16、ZX18 系列电阻器是由合金钢板加工成形的,功率为5.6 kW,其阻值稳定,无电感,采用高频瓷件绝缘,可靠性高,抗震性能好,不氧化防腐蚀寿命长。正因为这种电阻器有诸多优点,虽然价格略高一些,但它容量大,所用数量少,所以总的价格并未提高多少。
4 变频器参数的设置
变频器的几个关键参数设置与控制系统是否选用制动单元有关,下面以ABB 公司ACS800变频器参数设置为例做以对照,如表1 所列。
5 注意事项
1)在进行变频器参数设置和编程时,应使机械抱闸的上闸时间大于变频器的制动时间,在变频器停止输出后再使制动器动作。如果这二者之间配合不当仍会出现直流过压现象。
2)斩波器和电阻器之间的接线一定要可靠,绝不可有断开或接地现象,否则会造成变频器的损坏。
6 结语
由于变频器的优异性能,变频调速装置驱动的平移机构的起、制动平滑性能优良,调速范围宽,可靠性高。由于变频器的特点,这一系统一般要配置制动单元。本文的分析及设计实例表明,对于不同类型的起重设备及运行工况,经过仔细的设计和计算,某些情况下可以省略制动单元,从而降低设备成本及安装调试的工作量。

(转载)



