关键词:DSP;半导体激光器;PI算法;PWM
0 引 言
半导体激光器(LD)是一种固体光源,由于其具有单色性好,体积小,重量轻,价格低廉,功耗小等一系列优点,已被广泛应用。LD是卵想的电子 -光子直接转换器件,有很高的量子效率,微小的电流和温度变化都将导致其输出光功率的很大变化。因此,LD的驱动电流要求非常高,必须是低噪声、稳定度高的恒流源,一般电源很难满足要求[1-4] 。此外,瞬态的电流或电压尖峰脉冲,以及过流、过压都会损坏半导体激光器。这里将以TI公司的DSP芯片TMS320F2812为控制核心,实现带有多种保护的双闭环高精度半导体激光驱动电源系统。
1 系统总体设计
恒流源一般采用集成运算放大器和一些分立元器件及单片机构成的“压控恒流源”方法实现,与纯模拟元件构成的恒流源相比,这种方法在恒流精度和线性度上都有明显的提高。但是该方法中单片机是用作显示与控制电压的给定,并未对输出电流实时检测和控制,属于开环控制系统,影响了恒流源的稳定性及精度。该系统由“压控恒流”电路、信号采样和调理电路、保护电路、键盘、LCD显示、RS232通信接口以及DSP处理器等环节组成,系统结构框图如图1所示。

通过键盘输入给定,并在LCD上显示,同时经F2812运算处理后输出相应占空比的PWM信号。PWM经低通滤波器、放大调理后实现D/A变换并作为“压控恒流”模块(V-I Constant Current)的控制电压实现“压控恒流”。F2812实时对输出的电流采样,采样数据经数字滤波、分析处理后与给定电流值相比较,得到差值作为PI调节算法表达式中的输入量,通过PI运算得到控制量U来调整PWM的输出实现恒流。
2 系统硬件设计
2.1 直流电源模块实现
直流电源模块主要由变压、整流、滤波、稳压和“扩流电路”组成。直流电源模块如图2所示。+15V用于“压控恒流模块”和运算放大器供电;-15V用于运算放大器负电源供电;+5V用于数控模块供电。将+5V用高精度、高稳定性的稳压芯片稳压后再为DSP处理器供电。

“扩流电路”由电阻RP3和大功率达林顿管TIP147组成,调节RP3可使+15V电流得到2A以上的大电流输出。为减少直流电流中纹波采用RC-π型有源滤波方法,变阻RP1,Q1,C3,与RP2,Q2,C4组成两个RC滤波电路分别对+15V和-15V电源高效滤波。为NPN型晶体管,利用晶体管的电流放大作用可以间接增大滤波电容的容值。
假若Q1和Q2。放大倍数为届β1和β2,则Q1,Q2基极电容C3,C4等效到射极,分别就为(1+β1)C3。(1+β2)C4,从实现大电阻大电容滤波并减小了电路的体积。图中D5,D6为电源故障显示,D7和D8起保护稳压器LM7815,LM7915的作用。当输出端有负载时,如果LM7915稳压器的输入端开路,这时LM7915无输出,+15V经负载加到LM7915的输出端以致损坏LM7915。LM7815的保护原理相同。
2.2 恒流源模块买现
“压控恒流”是通过控制输入电压的变化控制输出电流。恒流源电路原理如图3所示。通过硬件电路实现闭环负反馈,即内闭环。图3中电阻Rs,R4,R5,Rf和运放U5构成反馈网络。假若运放U4是理想的,设输入电压为V5,输出电压为UO。由运放“虚短”可得:

Rs,R5,Rf不变时,输入电压恒定输出电流工恒定。
运放U4,U5,电阻Rs,R5,Rf自身的稳定性恒流源的稳定性起决定性作用。因此,U4,U5选用高精度运放OP-27,其漂移仅为0.2μV/℃,其最大噪声电压为0.25μV。R5,Rf选用温漂系数低、精度较高的电阻。采样电阻Rs选用阻值为0.01Ω大功率锰铜丝电阻,其精度为1%。Q5为大功率达林顿管2SD1559,由于集成运算放大器一般工作在小电流状态,因此用一个小功率晶体管Q4(9014)驱动Q5。C15,C16,D9,L1构成低通滤波以减少电源中高次谐波对LD的影响,D5在Q5截止时起到扼制流作用。
2.3 A/D与D/A模块实现
F2812芯片内置12位ADC(模/数转换器)输入,电压为0~3V,12位的ADC采样的分辨率为(3.0V~0V)/212=0.73mV。F2812根据预置的电流值对PGA103的A1A0引脚置位(A1A0=00,A1A0=01,A1A0=10分别对应的放大倍数为1,10,100),信号调理如图3所示。F2812内没有配置DAC模块,要实现D/A功能需要外接D/A转换芯片,转换精度与芯片的价格成正比关系,这无疑增加了硬件成本。

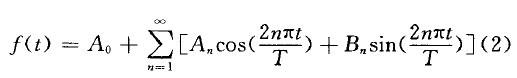
F2812芯片提供的PWM信号,是一种周期和占空比均可变、高电平VH=3.3V,低电平VL=0V的脉宽调制(PWM)信号。由傅里叶变换可知,对于以时间轴原点为对称点的、单极性的PWM信号可写成表达式:

式中:T为信号周期;n=±1,±2,±3…;An,Bn为各自独立的傅里叶系数。

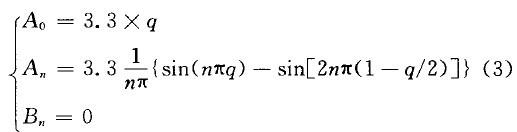
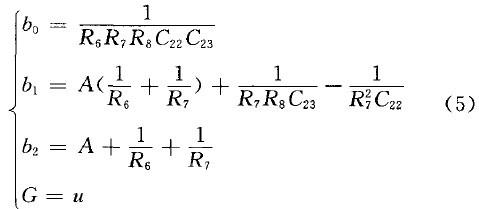
由式(3)可知只要将高频直流分量An滤除,改变PWM信号占空比q(q=0~1)时,可以得到输出电压0~3.3V。由于三阶低通滤波器较之于一阶与二阶低通滤波器有更好的性能[5] 。采用“归一化”方法设计一个Butterworth三阶反馈有源低通滤波器,如图4所示。低通滤波器的传递函数表示为:

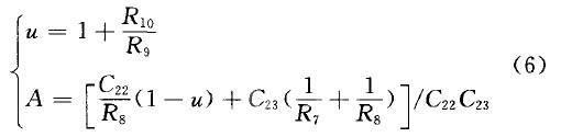
式中:G,bn-1,…,b0为适当选择的常数。图4低通滤波器要满足式(4)必须具备以下条件,

式中:

由归一化方法可得,将截止频率fc(Hz)和电容C21都归一化,所以电阻系数为K=100/fcCˊ,Cˊ是以μF为单位的C21值,要使增益G=2时,由文献[6]中表2-54可知。K=1时所对应电阻R6~R10电容C22~C23(μF)的系数分别 2.491,2.339,0.692,11.043,11.043,C21,C21。选择fc=1000,Cˊ=0.01时,图4中 R6~Rl0,C21~C23分别为24.491,23.39,6.92,110.43,110.43,0.01,0.01,0.01。
经EWB仿真软件仿真可知该三阶滤波电路得到很好的滤波性能,Butterworth滤波在通带内没有纹波,这使得PWM到D/A变换精度上得到保证,仿真结果如图5所示。

2.4 键盘与显示实现
键盘的功能是输入预置电流值并且可以实时修改。键盘采用16个键,“0~9”和“·”键用于数字输入;“ENTER”,“CANCLE”键表示确认、取消;“↑”,“↓”键表示步进量增加、减少;“NUM”键表示步进量选择。预置电流步进量分为±10mA和±1mA,可以输入 10~2500mA范围内电流值,预置电流输入按下“ENTER”键后即可在LCD上显示。数据显示选择常用的液晶显示LCD1602A,将预置输出电流值和实时采样电流值分成两行显示。
2.5 LD保护电路
半导体激光器LD的PN结非常脆弱,极容易损坏。瞬时的电流突变,容易使半导体激光器两端面腔镜产生损伤造成激光器永久性损坏[7-8] 。慢速启动(也称为软启动)是指驱动电源开启后,控制电压Vs不突然加在整个恒流电路上,而是在设定的时间内从零逐渐升至Vs。将几个前向导通的二极管与激光器L串联可以有效延长LD管的使用寿命,因为当发生大的前向电压时,这些二极管导通,电流将不会从激光管LCD通过,从而避免损坏LD管[9,10] 。在LD两端并联一个小电容,同时并联一个反向二极管防止LD受到过大的反向电压而损坏。为防止过电流,可采用软件和硬件保护,即采样的电流值经处理后与限流值比较,大于限流值时,将开关管Q6导通,V4被箝为0V使调整管截止达到限流的目的。
3 系统软件设计
软件采用汇编语言编写,可以通过键盘实时修改电流的给定值,同时LCD可以显示给定值和实测值。为方便调试系统软件采用模块化设计,主要包括主程序,给定给定、LCD显示及PI调节等子程序。
系统的初始化包括DSP外围接口芯片和电流给定的初始化,键盘扫描包括给定和步进量的调整。系统主程序与外环调节程序流程图如图6所示。

4 结语
在该设计中,采用硬件闭环负反馈与数字闭环结合的方法,构成双闭环恒流电源。硬件闭环负反馈具有很强的恒流特性,并降低数字闭环工作量。数字闭环主要起精细调整作用,使系统恒流精度得到提高。此外,充分利用F2812内置资源简化了外围芯片设计复杂性,同时,16路的ADC通道和PWM输出可以对多个恒流电源测控。因此该系统可以广泛用于光纤传感、光纤通信以及有源电流互感器的激光供能等多方面,有着良好的应用前景。
参考文献:
[1]Tucker R S.High—speed Modulation of Semiconductor Laser[J].Light-wave Technology,1985,3(6):1180-1192
[2]Doerr C Modulation of Long-cavity Semiconductor Lasers[J].Light-wave Technology,1996,14(9):2052-2061.
[3]吕玉祥,袁阔,张志强,等.小功率高稳定半导体激光电源[J].现代电子技术,2008,31(7):105-106,109.
[4]唐敏,韩海.基于NCP5662的半导体激光器驱动电源[J].电子测量技术,2008,31(3):47—50.
[5]韩安太,刘峙飞.DSP控制器原理及其在运动控制系统中的应用[M].北京:清华大学出版社,2003.
(转载)



