单相接地故障是影响中低压电网供电可靠性的最常见故障。随着电网改造的进一步深入,以及国家电力公司有关条文的颁布,采用消弧线圈接地系统是今后的变电站设计及改造中的发展趋势。要求测量控制系统能够在正常情况下进行常规电量监测及电容电流测量,在发生单相接地故障后迅速控制消弧线圈进行补偿并采集相关电量准确分析出故障线路。
本文在简要介绍中性点经消弧线圈接地系统的基础上,主要阐述如何借助于LabVIEW开发工具,快速构建电力测量控制系统。
中性点经消弧线圈接地系统
1、简介
随着配电网规模的扩大和大量采用地下电缆,当发生单相接地故障时,接地电流很大。如果接地电弧不能可靠熄灭,就会迅速发展为相间短路,引起线路跳闸,供电中断。如果接地电弧发展为间歇性的熄灭与重燃,就会引起弧光接地过电压,危及电气设备的绝缘。
在电网中性点装设消弧线圈是减小接地电流,抑制弧光接地过电压的一种行之有效的措施。这在电力行业标准DL/T620-1997《交流电气装置的过电压保护和绝缘配合》中都有明确规定。为保证供电可靠性,中性点经消弧线圈接地系统在发生单相接地故障时允许系统继续运行两小时,这时故障持续存在并可能进一步扩大,造成输变电设备损坏。实际运行中在尽量保证不间断供电的情况下迅速找到故障线路并排除故障。为此,研究和开发小电流接地选线装置对于保证中低压电网供电可靠性、防止事故发展和扩大、降低故障概率等有重要意义。
我公司研发的调容式自动调谐消弧线圈接地装置,是用于6-35kV电压等级配电网的自动补偿单相接地故障电流的智能化成套电气设备。此装置采用先进的晶闸管技术和NI PX平台,可准确测量电网线路的对地容抗,快速自动补偿单相接地电流,补偿效果好,运行可靠性高,并且故障发生后可短时间内选出故障线路,大大提高电网的供电可靠性,是配电网必不可少的电气设备。
2、工作原理
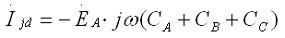
中性点不接地电网发生单相接地时,如图1所示。若无消弧线圈,则通过接地点的电流为

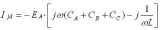
若电网中性点加装消弧线圈,则通过接地点的电流为


图1 单相接地电路图
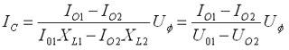
我公司研发的接地装置能够自动跟踪电网参数变化,通过调节消弧线圈二次侧的电容负载大小,以此来改变其一次等值感抗,实现动态调谐。它在电网正常运行的情况下,改变消弧线圈的档位,在中性点位移电压小于10%额定系统相电压时,同时测量并记录每档的中性点电流Io和中性点电压Uo,然后找出电压最大的两档。利用中性点电流Io与中性点电压U。的变化数据,便可计算出电网的电容电流:

目前国内的选线装置主要有基于稳态量分析法、暂态分析法及信号注入法进行选线。稳态分析法原理有零序电流比幅比相法、零序功率方向法、零序电流谐波方向法;暂态分析法有首半波原理法、小波分析法等。近年来,由于我国配电网和大型工矿企业的供电系统增加了很多中性点经消弧线圈接地的运行方式,因此选线装置中又增加了残流增量法判据来配合自动调谐消弧线圈的使用进行故障选线。我公司研发的调容式自动调谐消弧线圈接地装置综合了几种选线方法的优势,采用综合判据实现高准确率的选线。
LabVIEW构建消弧线圈测量控制系统
1、选择LabVIEW及NI PXI
当今世界,技术日新月异,如何在短时间内跟进技术发展的步伐?怎样才能可靠快捷地实现新技术转化为生产力的要求?那就是要从复杂的硬件设计及枯燥的文本编程中解脱出来,把工程师有限的精力放在成果转化上来。
使用LabVIEW,可以在交互式的图形前面板中进行系统控制和结果显示,也可以通过ActiveX、动态链接库和数据库,把数据显示在网页中或连接到其它应用程序或现有代码上。同时可以使用多种硬件设备采集数据。采集数据后,可以运用LabVIEW内置的强大测试分析和显示功能,将原始数据转化为有意义的结果。
LabVIEW的开发速度比传统的文本编程方式快4到10倍,而且直观、易学。利用LabVIEW的模块化和层次化结构,可以对整个系统进行快速原型化、设计和运行。LabVIEW采用数据流编程模式,可以很容易编制能同时执行多个任务的流程图表。因此,LabVIEW是能同时运行多个程序多任务系统。
NI PXI-8145 T包含了一个运行实时操作系统的嵌入式处理器。在Windows环境中开发LabVIEW RT应用程序,然后下载并安装该程序,使其跟实时操作系统一起对独立的硬件进行控制。即使主机突然停止工作,LabVIEW的嵌入式应用程序仍可继续运行。
M系列卡可以充分利用超线程和多线程技术,且都可使用LabVIEW RT模块和NI-DAQmx建立无需用户干预的可靠的、确定性的独立程序。
对于消弧线圈接地系统的测量控制装置,就其本身来说,要求采样的模拟量多达几十路之多,输入输出也有十多路,且数据分析工作量大、精度要求也比较高,而且在电力系统中要求运行可靠,抗干扰能力强,另外,开发周期又相对比较紧张。如果用传统的自制信号调理板、采样保持板、数字I/O板及诸如DSP的控制系统,不仅耗时耗力,而且最终的结果可能是抗干扰能力差、程序漏洞百出且维护工作量大,对以后的技术培训及升级换代带来不必要的麻烦。
综上所述,采用LabVIEW开发平台及RT嵌入式处理器配合先进的数据采集卡是我们最佳选择。
2、系统硬件设计

信号调理板用于对要采集的模拟量进行信号预处理:模拟量包括中性点电压、中性点电流、各线路零序电流等,预处理包括把大信号转换成NI M系列数据采集卡允许范围的小信号以及滤波等;数字I/O板用途包括:给数据采集卡提供相应的数字触发信号,给触发板提供触发信号进而控制晶闸管通断,提供报警及跳闸信号等NI PXI-1031四槽带电源机箱、PXI-6221数据采集卡、PXI-8145 RT控制器以及PXI-8423双端口RS-485 串行卡组成了测量控制系统的核心部分。
触摸屏提供人机交互接口。西门子TP170A触摸屏支持Modbus协议, 通过232双绞线与PXI-8145 RT的RS-232通讯口联接。用西门子触摸屏组态软件创建触摸屏用户接口界面,用LabVIEW7.1创建多线程Modbus通讯应用程序,实现PXI-8145 RT从站与触摸屏主站之间的数据交流,这样用户就可以方便的监测现场数据、修改运行参数、查询数据记录及控制运行方式。
安装LabVIEW应用程序的计算机通过以太网或232双绞线与PXI-8145 RT控制器联接,主要用于电站自动化,实现数据远程监控、记录、操作及查询打印功能。
3、系统软件设计
为了保证程序运行的实时性,程序中主要采用了Timed Loop循环,此循环可在用户指定的时间内完成任务。此外,在程序中使用了调用节点(Invoke Node)动态控制VI运行及事件结构,更为重要是,采用了多线程的编程方法,实现了多个程序同时运行的多任务系统。
程序主要包括:数据采集与分析、Modbus触摸屏通讯、投档测量与控制、投档补偿与故障选线、常规操作与控制、TCP/IP通讯服务以及上位机监控等等。
LabVIEW强大的数据采集与分析函数使得对大量数据分析极为方便准确,大大减轻了工作量。适当的运用For循环结构可以使得某些运算大大简化。如电量的有功功率、谐波相位、暂态分析等。更显著的是LabVIEW强大的工具包支持,使得系统构建更简捷。各种计算模块如FFT运算模块应有尽有,使得电力系统的潮流计算更加简单。
图3显示为我公司为西北某企业电站提供的上位机监控系统画面。本监控系统完全采用LabVIEW7.1编写,采用RS-232通讯轮询,实现了现场六套消弧线圈控制器数据监控、参数设置、运行方式设置、各种故障指示报警、数据报表自动生成、报表打印、选线结果显示等。在现场得到了良好应用。

信号调理板用于对要采集的模拟量进行信号预处理:模拟量包括中性点电压、中性点电流、各线路零序电流等,预处理包括把大信号转换成NI M系列数据采集卡允许范围的小信号以及滤波等;数字I/O板用途包括:给数据采集卡提供相应的数字触发信号,给触发板提供触发信号进而控制晶闸管通断,提供报警及跳闸信号等NI PXI-1031四槽带电源机箱、PXI-6221数据采集卡、PXI-8145 RT控制器以及PXI-8423双端口RS-485 串行卡组成了测量控制系统的核心部分。
触摸屏提供人机交互接口。西门子TP170A触摸屏支持Modbus协议, 通过232双绞线与PXI-8145 RT的RS-232通讯口联接。用西门子触摸屏组态软件创建触摸屏用户接口界面,用LabVIEW7.1创建多线程Modbus通讯应用程序,实现PXI-8145 RT从站与触摸屏主站之间的数据交流,这样用户就可以方便的监测现场数据、修改运行参数、查询数据记录及控制运行方式。
安装LabVIEW应用程序的计算机通过以太网或232双绞线与PXI-8145 RT控制器联接,主要用于电站自动化,实现数据远程监控、记录、操作及查询打印功能。
3、系统软件设计
为了保证程序运行的实时性,程序中主要采用了Timed Loop循环,此循环可在用户指定的时间内完成任务。此外,在程序中使用了调用节点(Invoke Node)动态控制VI运行及事件结构,更为重要是,采用了多线程的编程方法,实现了多个程序同时运行的多任务系统。
程序主要包括:数据采集与分析、Modbus触摸屏通讯、投档测量与控制、投档补偿与故障选线、常规操作与控制、TCP/IP通讯服务以及上位机监控等等。
LabVIEW强大的数据采集与分析函数使得对大量数据分析极为方便准确,大大减轻了工作量。适当的运用For循环结构可以使得某些运算大大简化。如电量的有功功率、谐波相位、暂态分析等。更显著的是LabVIEW强大的工具包支持,使得系统构建更简捷。各种计算模块如FFT运算模块应有尽有,使得电力系统的潮流计算更加简单。
图3显示为我公司为西北某企业电站提供的上位机监控系统画面。本监控系统完全采用LabVIEW7.1编写,采用RS-232通讯轮询,实现了现场六套消弧线圈控制器数据监控、参数设置、运行方式设置、各种故障指示报警、数据报表自动生成、报表打印、选线结果显示等。在现场得到了良好应用。
(转载)



