现场仪表

蒸汽状态给蒸汽流量计量带来的误差

ainet.cn   2009年12月15日
摘要:结合差压式流量计和涡街流量计的数学模型,对安装过程中由于蒸汽状态选择不当所造成的蒸汽流量计量误差进行了详细的分析。指出了蒸汽密度补偿模式与蒸汽状态直接相关,蒸汽状态的错误判定会给蒸汽计量带来较大的误差。压力越低、温度越高,由此带来的误差就越大。提出了蒸汽

0  引言
    蒸汽是工业生产过程中重要的二次能源,许多科技工作者对蒸汽流量的准确计量进行了研究,并积累了一些经验[1-3]。目前最常用的是差压式流量计和涡街流量计,并配以蒸汽密度补偿。而蒸汽密度补偿一般采用蒸汽压力、温度补偿的方法,分别由安装在管道上的压力变送器和温度变送器(pt铂电阻)来实现。流量计及其用于密度补偿的压力、温度变送器的正确安装和设定将对蒸汽流量计量的准确度带来直接的影响叫,从差压式流量计的不确定度合成中我们也可以清楚地看到这一点[5]。不同状态的蒸汽,其蒸汽密度与压力、温度的关系模型是有根本区别的。在应用中,由于忽略了蒸汽状态对流量计配套选型的要求,因而带来很大的计量误差,也因此引起了许多计量纠纷。
1  蒸汽流量测量原理
    在蒸汽流量计量中,最常用的流量计是差压式流量计和涡街流量计[6]。
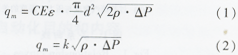
    差压式流量计的理论依据是伯努利方程和流动连续性方程。当流体流经节流装置,使部分压力能转换为动能,产生差压信号,而这一差压与流量的平方成正比,其数学模型为:
          
式中:qm为蒸汽质量流量,T/h;C为流出系数;ε为可膨胀性系数;d为节流件孔径,m;ρ为节流件蒸汽密度,kg/m3; △P为节流件上下游差压,Pa;E为渐近速度系数。
    涡街流量计的理论依据是流体振荡原理。流体在管道中经过涡街流量变送器时,在三角柱的旋涡发生体后上下交替,产生正比于流速的两列旋涡,旋涡的释放频率与流过旋涡发生体的流体平均速度及旋涡发生体特征宽度有关,可用以下公式表示:
         
    式中:f为旋涡的释放频率,Hz;k为流量系数,1/L;ρ为蒸汽密度,kg/m3;υ为流过旋涡发生体的流体平均速度,m/s;d为旋涡发生体特征宽度,m;St为斯特罗哈数,无量纲,当雷诺数 Re在l02~105范围内,St值约为0.2。
    从式(2)和式(4)可以看出,蒸汽质量流量与蒸汽密度直接相关。因此,常用Pt100铂电阻测量得到的介质温度信号和压力变送器测量得到的介质压力信号作为密度补偿信号,涡街流量计对蒸汽流量进行密度修正。对饱和蒸汽,蒸汽密度ρ只与压力P有关,即ρ=ρ(P);而对于过热蒸汽,蒸汽密度ρ与压力P的关系和温度T有关,即ρ=ρ(P,T)。
2  蒸汽状态对蒸汽流量计量的影响
    根据蒸汽密度表[7],我们可以方便地得到饱和蒸汽密度与蒸汽压力的关系、过热蒸汽密度与蒸汽压力以及温度的关系。不同蒸汽压力下,饱和蒸汽密度与压力关系如图l(a)所示;同样在蒸汽压力为0.8MPa、0.9MPa及1.0MPa时,对于过热蒸汽在不同温度下,过热蒸汽密度、压力与温度之间的关系如图1(b)所示。
            
    为了直观地说明蒸汽状态对蒸汽流量计量的影响,我们结合差压式流量计的数学模型式(2)和涡街流量计的数学模型式(4) ,就蒸汽状态为过热蒸汽在压力为0.9 MPa、温度为190 ℃ 时进行讨论。
    从图1(b)可以得到,在压力为0.9MPa、温度为190℃时,过热蒸汽密度为ρ0=4.459 kg/m3;但如果在流量计安装中错误地把蒸汽状态判定成饱和蒸汽,则由图1(a)得到蒸汽压力为0.9MPa时,饱和蒸汽密度为ρ=4.645 kg/m3
    对于差压式流量计,把ρ0、p1,代人式(2)得:
              
    引起的流量计量误差为:
             
    对于涡街流量计,把ρ0、ρ1代入式(4)得:
    
    引起的流量计量误差为:
                          
    该流量计量误差是由于蒸汽流量计安装时对蒸汽状态选择不当带来的。不同蒸汽压力、温度带来的相对误差如图2 所示。
           
3  结束语
    蒸汽流量计可以通过温度、压力信号补偿蒸汽密度实现对蒸汽流量的准确计量。蒸汽密度补偿模式直接与蒸汽状态有关,即蒸汽状态的错误判定会给蒸汽计量带来很大的误差。蒸汽状态给差压式流量计带来的计量误差大于给涡街流量计带来的计量误差。蒸汽压力越低,蒸汽状态影响越大。因此,蒸汽流量计安装中必须正确判定蒸汽状态。

(转载)

标签: 蒸汽 流量计 我要反馈 
泰科电子ECK、ECP系列高压直流接触器白皮书下载
亿万克
专题报道