1.当有几种表计接于同一组电流互感器时,其接线顺序如何?
答:其接线顺序是:指示仪表、电度仪表、记录仪表和发送仪表。
2.使用电流互感器应注意的要点有哪些?
答:(I)电流互感器的配置应满足测量表计、自动装置的要求。
(2)要合理选择变比。
(3)极性应连接正确。
(4)运行中的电流互感器二次线圈不许开路.
(5)电流互感器二次应可靠接地。
(6)二次短路时严禁用保险丝代替短路线或短路片。
(7)二次线不得缠绕。
3.电流互感器的轮校周期和检修项目是什么?
答;计量用和作标准用的仪器和有特殊要求的电流互感器校验周期为每两年一次,一般仪用互感器核验周期为每四年一次。仪用互感器的检验项目为:校验一、二次线圈极性;测定比差和角差;测量绝缘电阻、介质损失以及而压试验.
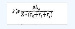
4怎样根据电流互感器二次阻抗正确选择二次接线的截面积?
答:可根据下式计算进行选择

式中 S——连接导线的截面积
Lm——连接导线的计算长度m,单机接线Lm=2L,星形接线Lm=L,不完全星形接线Lm=√3
ρ——导线电阻率Ωmm2/m
Z——对应于电流互感器准确等级的二次负荷额定阻抗,可从铭牌查出。
rq——为仪表电流线圈的总阻抗Ω
rj——为继电器电流线圈的总阻抗Ω
rc——连接二次线的接触电明一般取0.05Ω
4.电流互感器二次为什么要接地?
答:二次接地后可以防止一次绝缘击穿,二次串入高压,威胁人身及设备的安全,属于保护接地。接地点应在端子k2处,低压电流互感器一般采用二次保护接零的方式。
5对电流互感器如何进行技术管理?
答:(1)电流互感器以及其它计量设备必须做好台帐,有专人管理。并做好互感器转移记录。
(2)在供电企业内应建立各种相应的技术档案和管理制度,包括出厂原始记录、资料。历年修校记录、检修工艺规程和质量标准.
(3)对计量用电流互感器的安装、更换、移动、校验、拆除、加封和接线工作均由供电企业负责,加强电能计量管理。
6.对低压互感器安装有什么要求?
答:电流互感器的一次导线要满足安全工作电流要求。二次线的截面不小于1.5mm2的绝缘铜线,其导线本身及串接其它仅表的阻抗值应小于或等于各互感器的规定值。两只电流互感器间以及互感器与仪表和配电箱壁上下间距离大于或等于80mm,左右间距离大于或等于50mm.外漏铁芯要可靠接地,并保证二次接线不许开路.
7.对计量用电流互感器精度有哪些要求?
答:装设在变压器、发电机和厂用电线路上和一般性用户计费用的电流互感器采用0.5级的专用互感器;对月售电量在100万kw·h及以上的用户应用0.2级的专用互感器。
8.更换电流互感器应注意哪些问题?
答:在采取安全措施的条件下更换电流互感器其中的一只时,需要选用变比相同、极性相同、使用电压等级相符,伏安特性相近、试验合格的去更换。对一组电流互感器全部更换的,要考虑更换后定值以及仪表的倍率,同时要注意用户帐卡收费倍率的变更。
9.电流互感器长时间过负荷运行有什么影响?
答:(1)电流互感器误差增大,影响指示仪表以及计量的准确性。
(2)由于超负荷运行,铁芯和二次线圈过热,使绝缘老化快,甚至出现损坏等情况。
10.运行中的电流互感器易出现哪些问题?
答:运行中的电流互感器可能出现二次开路、发热、冒烟、接线螺丝松动、声响异常等问题,因此要经常检查接头有无过热、有无声响、有无异味、绝缘部分有无破坏和放电现象。
11.为什么有时电流互感器二次侧开路,并没有发现什么异常现象?
答:这主要是因为一次回路中没有负载电流或负载电流很小,这时励磁电流很小,铁芯没有饱和,因此就不会发生什么异常现象。因此,。在运行中,如果发现电流互感器二次开路,则应及时停电进行处理,负荷如果不允许停电时,应先将一次测的负荷电流减小,然后用绝缘工具进行处理。
12.怎样进行电流互感器故障检查与处理?
答:电流互感器在正常运行中。听不到“嗡嗡”声,如果二次开路或过载;会发出较大的“嗡嗡”声,这时通过电流表监视电流互感器是否二次侧开路。
电流互感器二次回路断线时,二次电流消失,这时应速将电流互感器二次短路。在短路时发现有较大的火花时,则说明短路有效;若没有火花。还须另找故障点,做此项工作时应使用可靠的保安用具,防止开路电压及火花伤人。
13.三相三线电度表有其中一相电流互感器二次极性接反,计测电量的更正系数是多少?
答:若A相电流互感器极性接反,其更正系数为:

对于φ值应取更正接线后一个月的平均功率因数角。
14.某用户安装三相四线电度表加配一次匝数为3匝、变比为50/5的电流互感器计收电费,安装时误将电流互感器一次匝数分别穿为1匝、2匝、3匝,而收费按50/5计算,现已抄见电量1000kw·h,若在三相负载基本平衡的情况下,如何计算更正电量?

解;更正系数
15.使用50/5穿芯电流互感器,一次线圈要求绕2匝,而我们只绕三匝,充当100/5流互感器使用,这样对电度表计量有无影响?
答:这样使用对电能计量没有影响,但此时计算电量的倍率是20才为正确。在电流互感器一次安匝数相等的情况下,增加—一次线圈匝数,可减小倍率;反之,减少匝数时,可增大倍率,对计量一般没有影响。
(转载)



