前言
为保护环境,减少二氧化硫排放量,国家环保部门对电厂烟气排放指标的考核和监督越来越严格,一些电厂也正在逐步进行大规模的脱硫系统改造或新建工程,其中增压风机是烟气脱硫装置中最主要的辅机之一,是脱硫装置能否安全和经济运行的关键设备,对增压风机进行变频改造可以提高风机的运行效率,提高稳定性,进而保证脱硫系统的运行可靠性,同时还能取得良好的节能效果,达到节能降耗目的。
一、 企业概况
扬州第二发电有限公司是江苏省特大型火力发电企业, 目前共有4台600MW燃煤发电机组。一期1#2#机组采用亚临界燃煤发电机组, 二期3#4#机组采用超临界燃煤发电机组, 机组安装的脱硫设施采用的是石灰石—石膏湿法脱硫工艺,即采用石灰石经吸收塔吸收二氧化硫,通过化学反应产出石膏。
工艺流程图

锅炉烟气经电除尘器除尘后,通过增压风机、进入吸收塔, 在吸收塔内烟气向上流动且被向下流动的循环浆液以逆流方式洗涤。循环浆液则通过喷浆层内设置的喷嘴喷射到吸收塔中,以便脱除SO2、SO3,与此同时在“强制氧化工艺”的处理下反应的副产物被导入的空气氧化为石膏,并消耗作为吸收剂的石灰石。循环浆液通过浆液循环泵向上输送到喷淋层中,通过喷嘴进行雾化,可使气体和液体得以充分接触。每个泵通常与其各自的喷淋层相连接,在吸收塔中,石灰石与二氧化硫反应生成石膏,这部分石膏浆液通过石膏浆液泵排出,进入石膏脱水系统。经过净化处理的烟气流经两级除雾器除雾,在此处将清洁烟气中所携带的浆液雾滴去除。同时按特定程序不时地用工艺水对除雾器进行冲洗。在吸收塔出口,烟气一般被冷却到46~55℃左右,且为水蒸气所饱和。通过加热器将烟气加热到80℃以上,以提高烟气的抬升高度和扩散能力。最后,洁净的烟气通过烟道进入烟囱排向大气。
二、 系统改造方案可行性
1 风机负载调速节能原理
风机的工作特性图如下:

曲线①为风机按转速N1工作时的特性曲线,曲线②为风机按转速N2工作时的特性曲线,③④为风道阻力曲线。
在第一种负载工况下,风机工作在A点,风量为Q1,风压为H1。如果风机仍然按N1速度定速运行,用挡板将风量调节为Q2时,风压将上升到H3,风机工作点移到B点。由于挡板的截流作用,风道阻力曲线由③变为④。
在A、B两点,风机功率分别为PA=H1×Q1,PB=H3×Q2,虽然Q2<Q1,但H3>H1,实际减小的功率有限。
如果不采用挡板调节,这时风路阻力特性保持曲线曲线③不变,改用调节风机速度来减小风量,风机改按速度N2运行,工作特性为曲线②,风机工作在C点,风量仍然为Q2,但压力为H2。
相比B、C两点,风机减少的轴功率为:ΔP=PB- PC=(H3 –H2)×Q2
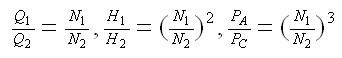
在风道阻力特性不变的情况下,风机的风量Q、压力H、轴功率P和转速N之间满足如下关系(相似定理):
Q∝N,H∝N2,P∝N3
所以有:
就是说,通过调速方式改变风机风量,风量下降一半时,风机轴功率将下降87.5%。
2 系统旁路柜控制方式

基本原理:它是由3组高压开关柜QF1、QF2和QF3组成。要求开关柜QF2和QF3不能同时闭合。变频运行时,开关柜QF1和QF2闭合,开关柜QF3断开;工频运行时,开关柜QF3闭合,开关柜QF1和QF2断开。
另外还保留了电机差动保护功能,采取重新更换电机中性点CT,将其控制信号接入QF2开关柜内综保装置,参与差动保护,完善电机保护功能。
三、节能数据分析:
1 现场技术数据:
设备参数

2工频/变频状态下的年耗电量计算


五、结论
采用变频调速后,系统实现软启动,电机启动电流远远小于额定电流,启动时间相应延长,对电网无大的冲击,减轻了起动机械转矩对电机机械损伤,降低噪音,降低了震动系数,有效的延长了电机的使用寿命,减少了检修维护开支,节约大量维护费用,降低了厂用电率,提高了供电率.
总的来看,增压风机进行变频改造是可行的,它可以提高风机的运行稳定性,进而保证了机组脱硫系统的运行可靠性,同时还能取得良好的节能效果。
(转载)



