引言
目前高压变频器多采用强制风冷方式,但由于水冷方式和热管散热有体积小、效率高、没有污染等优点,应更新设计理念,大力推广。总之,开发和选择新型高效散热技术对高压变频器进行冷却,是提高设备可靠性和缩小设备体积的一个重要措施。
1 简介
在电力、化工、煤矿、冶金等工业生产领域要求高压变频器有极高的可靠性。影响高压变频器的可靠性指标有多项,其中在设计过程中其散热与通风是一个至关重要的环节。目前高压变频器有高-低-高式、元件直接串联式、中点箝位多电平式、单元级联式等多种方式,一般来讲,上述各种方式的高压变频器,其效率一般可达95~97%;但由于设备功率大,一般为mw级,在正常工作时,仍要产生大量的热量。为保证设备的正常工作,把大量的热量散发出去,优化散热与通风方案,进行合理的设计与计算,实现设备的高效散热,对于提高设备的可靠性是十分必要的。
高压变频器在正常工作时,热量来源主要是隔离变压器、电抗器、功率单元、控制系统等,其中作为主电路电子开关的功率器件的散热、功率单元的散热设计、及功率柜的散热与通风设计最为重要。
2 功率器件的散热设计
通常对igbt或igct模块来说,其pn结不得超过125℃,封装外壳为85℃。有研究表明,元器件温度波动超过±20℃,其失效率会增大8倍。功率器件散热设计关乎整个设备的运行安全。
2.1 在进行功率器件散热设计时应注意的事项
(1) 选用耐热性和热稳定性好的元器件和材料,以提高其允许的工作温度;
(2)减小设备(器件)内部的发热量。为此,应多选用微功耗器件,如低耗损型igbt,并在电路设计中尽量减少发热元器件的数量,同时要优化器件的开关频率以减少发热量;
(3) 采用适当的散热方式与用适当的冷却方法,降低环境温度,加快散热速度。
以目前最常见的单元级联式高压变频器为例,对其中一个功率单元为例进行热设计。功率器件采用igbt,其电路如图1所示。
2.2 损耗功率的估算
在设备稳态运行时,功率单元内整流二极管、igbt、续流二极管总的功率损耗即为散热器的耗散功率。因此热设计的第一步就是对上述器件的总功耗进行估算。

图1 功率单元电路图
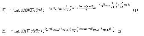
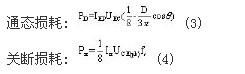
(1) igbt的功率损耗一般包括通态损耗、断态损耗、开通损耗、关断损耗和驱动损耗,在估算时主要考虑通态损耗、开通损耗与关断损耗;

(2) 对续流二极管来讲,主要估算它的通态损耗与关断损耗;

(3) 整流二极管在低频情况下的损耗功率
主要为通态损耗,确定其通态功耗的简便方法是从制造厂给出的通态损耗功率与通态平均电流关系曲线直接查出。
上述功率单元总的功耗为:p=(pss+psw)×4+pd×6 (5)
[DividePage:NextPage]
2.3 稳态下的结温计算
结温的计算是建立在如图2所示的简化热阻等效电路的基础上的。上述功率单元的简化热阻等效电路如图2所示。

图2 igbt的热阻等效电路图
图2中:rθ(j-c)是器件结到管壳基准点稳态热阻,由制造厂家提供,一般在数据表中给出上限值或给出瞬态热阻曲线取t→∞的稳态值;
rθ(c-a)是管壳未通过散热器直接到空气的热阻,通常不考虑;
rθ(c-s)是管壳到散热器的触热阻,通常由制造厂家在数据表中给出;
rθ(c-a)是散热器基准点到环境基准点的热阻,其值由散热器形式、尺寸和冷却方式决定;
ta是环境温度。
(1) 静态热阻
(6)
(2) 瞬态热阻
由于电力电子器件工作在周期性的开关状态,就需考虑其瞬态热阻所造成的结温波动是否超过最大结温。瞬态热阻反映散热途径中热载体的热阻和热容量的综合效果。瞬态热阻抗可由下式求得:
![]()
通常处于周期性脉冲功耗负载下的平均和最大结温可以参考厂家所给出的瞬态热阻曲线来计算。如图3示出了eupc型号为bsm400ga120dlc的igbt模块瞬态热阻曲线zthjc=f(t)。

图3 igbt模块瞬态热阻曲线
(3) 稳态下的结温计算
通过上述方法分析得到整个功率单元所有的功率损耗,然后按照下式计算电力电子器件的结温或计算散热器的热阻。
![]()
同时在计算热阻时,应考虑到损耗功率的波动与负载的波动;即在考虑结温的平均值的同时,应考虑到其波动的幅度。通常情况下,需保证在给定条件下所出现的最高结温不大于其最大定额150℃,计算稳态结温时考虑留出5℃的裕度。
[DividePage:NextPage]
3 功率单元的散热冷却设计
功率单元中的元器件主要包括整流二极管、igbt
(或igct)模块、电容、快速熔断器、母线开关器件驱动电路以及其它一些保护电路。除二极管整流模块与igbt模块(igct)外,其余元器件由于在功率单元中通过支架等方式安装,在保证足够的空间距离与必要轻微空气的对流的条件,已满足其散热要求。因此功率单元的冷却设计主要考虑二极管整流模块与igbt模块(igct)的散热要求。
功率器件的耗散功率所产生的温升需由散热器来降低,通过散热器增加功率器件的导热和辐射面积、扩张热流以及缓冲导热过渡过程,直接传导或借助于导热介质将热量传递到冷却介质中,如空气、水或水的混合液等。目前在高压变频器中常用到的冷却方式为强制空气冷却、循环水冷却、热管散热器冷却。
3.1 强制空气冷却
强制空气冷却用的散热器通常是一块带有很多叶片的良导热体,散热器热阻(r(s-a))估算公式:
式(9)中:k为散热器热导率;
d和a分别是散热器的厚度和面积,分别以cm和cm2表示;
c是一个与散热器表面和安装角度有关的修正因子。
此式在空气温度不超过45℃时成立。
值得注意的是,散热器的制造工艺会影响到其导热系数,如铸造铝合金、挤压成型或钎焊散热器应区分考虑。同时在选配散热器时应考虑:散热器根部厚度应满足热的传导;翼片的数目与波纹在保证最大散热面积的前提下不至于产生太大的流体阻力;翼片的高度与厚度之间的比例要合理。如要保证散热有较大的裕量,增大散热器的长度是一个较好的选择。
3.2 循环水冷却
高压变频器采用循环水冷却方式可以大大提高散热效率,使得单位功率的体积小,可极大的减小整机的尺寸。与强制空气冷却相比,散热器表面与流体的温差比较小,一方面可以提高功率,另一方面可以降低芯片的温度,提高其寿命。但采用循环水冷却方式需要有水循环与处理设备,增加了设备的复杂程度。采用该方式时,应注意为防止纯水会引起生锈与结冻,一般采用水与醇混合。混合比例会影响到冷却液的热阻,当混合比例为50%时,其热阻一般增大50%。正常情况下应保证水的流速不小于8升/分。
在高温湿热的环境中,由于空气中的相对湿度比较高,当冷却表面的温度低于露点时,水冷散热器会引起凝露现象,由此可能造成器件的绝缘破坏。因此水冷式高压变频器对环境要求要高一些。通常水的凝固点为0℃,根据标准要求,额定温差为5℃,因此工作温度不应低于5℃;同时相对湿度≤90%(25℃),相对湿度变化率应≤5%/h。
3.3 热管散热器
热管散热器是采用水或其它传热流体为冷却介质,密封在具有毛细结构的铜管内的沸腾散热器。功率器件产生的热量通过散热器传导给流体,流体汽化后扩散至整个铜管,以散热片散热冷却成水后回流到吸热面。热管散热器具有传热能力强、均温能力优良、热密度可变、无外加设备、工作可靠、结构简单,重量轻、不用维护等优点,一般适用于大功率、分立元件的场合;在一些特殊的生产工况如粉尘比较多的地方(煤矿、焦化厂、部分化工厂)可以采用热管散热器,因为可以做到整个功率变换部分的密闭性。
国内的电力电子变换器行业多年前已采用热管散热器。如df4型电传动内燃机车的电力整流柜改用热管替换原有的纯铝散热器;上海威特力焊接设备制造有限公司在400a以上的逆变焊机中每台都用热管散热器为igbt和二极管散热。但目前还未见到采用热管散热的高压变频器。考虑到上述几种散热方式,热管散热应是首选的考虑。
[DividePage:NextPage]
3.4 其它注意事项
高压变频器无论采用何种冷却方式,器件在散热器上安装时应注意其安装位置。器件在散热器上的布局应注意以下几点:
(1) 散热器的中心位置热阻最小;
(2) 在同一个散热器上安装多个功率器件时,在考虑各个器件发生的损耗情况的基础上,决定安装的位置,对产生大损耗的器件应给予最大的面积;
(3) 安装模块的散热器表面,应注意螺钉位置间的平面度控制在100以内,表面粗糙度控制在10以下,表面如有凹陷会直接导致接触热阻的增加;
(4)为使接触热阻变小,在散热器与功率元件的安装面之间应均匀涂敷散热绝缘混合剂,并施加合适的紧固力矩,使器件外壳对散热器的接触热阻不超过数据手册要求的值。
4 整机的散热与通风设计
高压变频器常风的冷却方式主要为散热器强制风冷、循环水冷却和热管冷却等。因强制风冷方式简单,不存在水冷时的凝露问题,以及热管散热器设计的复杂性,在确定合适的通风结构的情况下,一般采用此种方式。采用强制风冷方式需要在结构设计时考虑散热风道。散热风道的设计应在充分考虑单元散热的要求下,应尽量优化。常见的多电平串联方式的高压变频器,从结构上分为功率柜体、变压器柜、控制柜。功率柜风道设计通常有两种方式:串联风道和并联风道。
4.1 串联风道
串联风道是由每个功率的散热器上下相对,形成上下对应的风道,其特点由上下多个功率单元形成串联的通路,结构简单,风道垂直使得风阻小;但由于空气从下到上存在依次加热的问题,造成上面的功率单元环境温差小,散热效果差。其结构如图4所示。

图4 功率柜风道结构图
4.2 并联风道
并联风道中从每个功率单元的前面进风,对应的进风口并联排列,在后面的风仓中汇总后由风机抽出,同时整个功率柜一般采用冗余的方法,有多个风机并联运行,整体散热效果好,并提高了设备的可靠性。但柜体后面要形成风仓,增大了设备的体积,同时由于各个功率单元后端到风机的距离不同,使得每个功率单元的风流量不一致,在设计时应加以考虑。
4.3 散热风机的选择
整个功率部分采用强制风冷的方式,需保证有足够的具有环境温度的空气源源不断地流经散热器的表面,使散热系统达到某种温度值的热平衡。在稳定的平衡状态下,根据公式:p=h×a×△t,在已确定系统耗散功率p、散热器有效表面积a与散热器表面温度与环境温度差值△t的前提下,吸热介质的对流换热系数h可以求出。美国、日本规定风机噪音不得大于65db,所以他们规定的风速为2~4m/s。因此在考虑风机选择时,应保证电力半导体器件风冷散热器3~6m/s的风速,一般即可保证h能达到要求。
5 结束语
目前高压变频器多采用强制风冷方式,但由于水冷方式和热管散热有体积小、效率高、没有污染等优点,应更新设计理念,大力推广。总之,开发和选择新型高效散热技术对高压变频器进行冷却,是提高设备可靠性和缩小设备体积的一个重要措施。
(转载)



