摘要:本文介绍了利德华福高压变频器在越南旺秘热电厂循环水泵上的应用情况,结果表明,对电厂循环泵电机进行变频驱动,节能效果非常明显,并提高了设备和系统的安全可靠性,改善了水泵和电机的使用寿命。
关键词:高压变频器 节能
一、引言
随着国民经济的持续发展,能源问题日益的突出,节能问题愈来愈受到重视。据统计,目前全国各类电机年耗电量约占全国总发电量的65%,而其中大功率风机、泵类的年耗电量约占工业总耗电量的50%,最大限度地降低风机、泵类等设备的耗电量对于节能具有重要意义。
二、现场工艺介绍

图1 远眺电厂

图2 现场办公室
越南旺秘热电厂二期装机容量为330MW。在循环供水系统中,由循环水泵实现水资源的循环利用,经热交换后的热水进入冷却设施进行冷却,使其水温降至允许值,然后又重复将冷却水输入凝汽器而循环使用。由于系统水位基本上是稳定的,故循环水泵的扬程也基本稳定,而其容量按计算水量确定。发电机组有两台循环水泵,电机为2400kW,采用利德华福HARSVERT-VA06.6/270高压变频器两台,平时一用一备。
循环水泵随机组长期连续运行,由于机组负荷经常变化,需要及时调整循环水流量,以保证机组的安全经济运行。即使在同一负荷的情况下,不同的外部环境也使得循环水流量的需求不同,就目前电厂情况,一台水少、两台水多的情况长期存在,而出囗阀门又不可调,机组冬季全天、春季后夜及低负荷工况时,开一台循环水泵就可满足运行需要,循环水泵运行时间按平均200 天计算,双台循环水泵运行时间:150天。循环水泵工作在满负荷时,其电机工作电流为270A。
目前汽轮机的真空度主要依靠调节冷却水流量来控制的,由汽轮机的运行原理可知,运行中的凝汽器压力主要取决于蒸汽负荷、冷却水入口温度和冷却水量,冷却水温一般取决于自然条件,在蒸汽负荷一定情况下就只有靠增加冷却水的流量来提高凝汽器的真空度。为提高机组运行的经济性,由于真空度提高汽轮机功率的增量应大于为增加循环水量所多消耗的功率,显然,汽轮机的最有利真空Peco(经济真空)应位于净增功率的最大值处,此时汽轮机工作在经济运行方式。
采用变频调节装置根据工况调节流量是有其必要性的。利用高压变频器根据实际需要对循环水泵拖动电机进行调速,由于水泵固有的特性,调速既可以调节水泵的出水量,又可以降低电动机的功耗,并达到最有利真空的控制目的,从而达到了既保证和改善工艺,又可达到节能降耗的目的和效果。
三、高压变频器的原理和组成
3.1 原理
HARSVERT-VA系列高压变频器是由北京利德华福电气技术有限公司生产的具有自主知识产权无电网污染的高性能变频调速装置,拓扑结构为单元串联多电平,高-高方式,电压源型,输出为多电平移相式PWM方式。特别适合于风机、泵类工业应用现场,已经被广大工业用户充分接受和认可。该高压变频器具有运行稳定、调速范围广、输出波形正弦度好、输入电流功率因数高、效率高等特点,对电网谐波污染小,总体谐波畸变THD小于4%,直接满足IEEE519-1992的谐波抑制标准,功率因数高,不必采用功率因数补偿装置,输出波形好,不存在谐波引起的电机附加发热和转矩脉动、噪音、输出dv/dt、共模电压等问题,不必加输出滤波器就可以使用普通的异步电机。
3.2 组成

图3 系统结构图
利德华福高压变频器的组成主要分为三个部分,移相整流变压器、功率单元和控制系统。移相变压器一次侧接受现场6.6kV高压,其二次侧有18个绕组,经过降压之后为功率模块提供720V电压,一次绕组采用星形接法,为了减少因整流桥引起的谐波污染电网,变压器二次侧采用延边三角形接法,每相邻两个绕组的相位角相差10度。功率单元是整个变频器实现变压变频功能的基本单元,每6个单元组成一相,每相输出串联,三相相接后输出给电机。控制系统是变频器控制的核心,主要由主控箱、PLC、人机界面三部分组成。

图4 设备运行现场
3.3 输出波形
(1)单元输出的PWM波形

图5 单元输出PWM波形
(2)输出相电压阶梯波形

图6 相电压输出波形
四、系统方案
4.1 主回路方案

图7 一拖一手动方案
此方案是手动旁路的典型方案。原理是由3个高压隔离开关QS1、QS2和QS3和高压开关QF、电动机M组成。要求QS2和QS3之间存在机械互锁逻辑,不能同时闭合。变频运行时,QS3断开,QS1和QS2闭合;工频运行时,QS1和QS2断开,QS3闭合。高压开关QF、电动机M为现场原有设备。
4.2 高压变频器参数


水泵的工作特性如下图:

图8水泵工作特性图
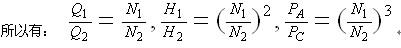
曲线①为负载按转速N1工作时的特性曲线,曲线②为负载按转速N2工作时的特性曲线,③④为管网的阻力曲线。
在第一种负载工况下,负载工作在A点,流量为Q1,压力为H1。如果负载仍然按N1速度定速运行,用阀门将流量调节为Q2时,压力将上升到H3,负载工作点移到B点。由于阀门的截流作用,管网阻力曲线由③变为④。
在A、B两点,负载功率分别为PA=H1×Q1,PB=H3×Q2,虽然Q2
相比B、C两点,负载减少的轴功率为:ΔP=PB- PC=(H3 –H2)×Q2 ,在管道阻力不变的情况下,循环水泵的流量Q、扬程H、轴功率P和转速N之间满足如下关系(相似定理):Q∝N,H∝N2,P∝N3
就是说,通过调速方式改变水泵流量,流量下降一半时,在不考虑到效率的情况下,轴功率将下降87.5%。这也是为什么变频调速在水泵应用上节能十分显著的原因。
另外,工频50Hz电网直接启动,对电网和机械冲击较大,声响很大。当采用变频调速时,50Hz满载时功率因数为接近l,工作电流比电机额定电流值要低许多,这是由于变频装置的内滤波电容产生的改善功率因数的作用,可以为电网节约容量20%左右。
六、结束语
越南旺秘电厂HARSVERT-VA高压变频器投运以来运行良好,达到了使用变频的目的。使用变频驱动循环水泵电机,循环泵调节阀门就可以一直处于全开状态,对其维护量大大减少。变频启动时电机转速从0逐渐平稳的升到所需转速,没有任何冲击,电流从零开始上升,不会超过额定电流,解决了电机启动时的大电流冲击问题,消除了大启动电流对电机、传动系统和主机的冲击应力,大大降低日常的维护保养费用,延长了电机、水泵寿命。
(转载)



