西门子S7-300是用于中、高档性能范围的PLC,具有模块化及无风扇的设计、坚固耐用、容易扩展和广泛的通讯能力、容易实现分布式结构、操作界面用户友好等特点。
1、安装装配导轨
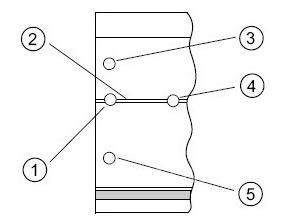
准备2 米长的装配导轨用于安装,具体步骤如下:
(1)将长度为2 米的装配导轨削减到需要的长度。
(2)标出四个用于安装固定螺丝的孔和一个用于保护导体螺栓的孔。
(3)如果导轨长度超出了830 mm,则必须提供附加孔,以便用更多的螺丝固定才能使其稳固。沿导轨中间部分的凹槽标出这些孔(如图1),其间距应大约为500 mm。

① 用于接地导线螺栓的孔;② 用于钻安装螺丝附加孔的凹槽;③ 用于安装螺丝的孔;
④ 用于安装螺丝的附加孔;⑤ 用于安装螺丝的孔
图1 导轨安装
(4)钻出标记的这些孔,M6 螺丝的孔径 = 6.5+0.2mm。
(5)安装一个M6 螺栓,用以固定接地导线。
(6)确认导轨安装后PLC间隙(如图2所示)。

图2 安装后PLC间隙
2、将模块安装在装配导轨上
从机架左边开始,按照“先电源模块、再CPU、最后SM/FM/CP/IM模块”的顺序,将模块挂靠在导轨上。具体步骤如下:
(1)如图3所示,将总线连接器插入 CPU 和SM/FM/CP/IM。除CPU 外,每个模块都带有一个总线连接器。在插入总线连接器时,必须从CPU 开始。拔掉装配中“最后一个”模块的总线连接器,因为“最后一个”模块不接受总线连接器。

图3 总线连接器插接方法
(2)如图4所示,按指定的顺序,将所有模块挂靠到导轨上①,滑动到靠近左边的模块 ②,然后向下旋转③。

图4 模块安装方法
(3)用螺丝拧紧模块,如图5所示。

图5螺丝拧紧模块
3、标记模块
(1)分配插槽号。应给每个安装的模块指定一个插槽号,这会使在STEP 7 的组态表中分配模块更加容易。
(2)将插槽号贴到模块上。先把相应的插槽号拿到相关模块前,然后将卡舌放置到模块 ① 的开口中,最后将插槽号压入模块 ② 中,插槽号从轮子处断开。图6说明了此过程。

图6 标记模块
如需了解更多信息,请访问
(转载)



