据外媒报道,鉴于统计资料不断增长,堪萨斯州立大学(KSU)的研究人员提出了一个模型,采取以居住者为中心的方式,将住宅光伏和电动汽车集成到家庭能源管理系统 (HEMS) 中,同时兼顾居住者的热舒适性、服装行为,及其对电动汽车充电状态(SOC)的关注点。

(图片来源:AZOM)
全球能源转型的重点是开辟一条通往可持续能源和净零碳的道路。政府和企业已针对这些目标做出承诺,普通居民也在稳步调整其生活,包括使用屋顶光伏(PV)和电动汽车。
屋顶光伏(太阳能电池板)和电动汽车技术日益普及,是由于这些技术越来越实惠。目前,美国使用的能源约3%来自太阳能,足以为1640万美国家庭供电。与此同时,电动汽车的销量持续同比增长。当前预测显示,在中等增长的情况下,到2030年,电动汽车的销量将占所有新车购买量的10%。
研究人员表示,现有大多数HEMS只关注居住者的热舒适度,包括室内温度和湿度,而忽略了居住者的其他行为或关注点,因此很有必要进行这项研究。该团队声称,其HEMS模型有助于降低能源成本,并有望提升HEMS使用率。

家庭能源管理系统建模
家庭能源管理系统(HEMS)提供详细、明了的能源使用信息,使居住者可以更好地管理其能耗,并且可以精确控制某些“耗能设备”,如电动汽车充电点。除了帮助居住者管理成本,HEMS还通过跟踪行为和了解偏好,使家中保持一定的舒适度。但是,该团队指出,以往某些行为和关注点被忽略了,比如居住者的服装。
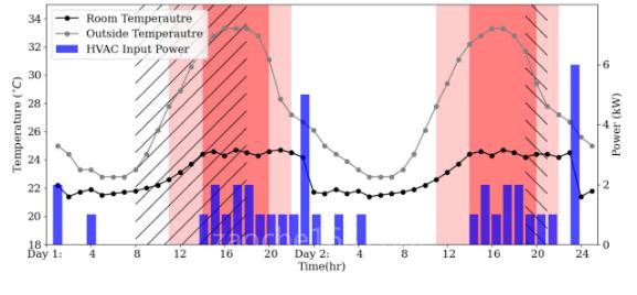
为了解决这些问题,KSU考虑三种不同的居住者行为,包括服装行为、EV SOC问题、基于热环境综合评价指标(PMV)的热舒适性,探讨由暖通空调(HVAC)、EV和PV组成的HEMS。研究人员Hongyu Wu副教授表示:“随机自适应动态规划(ADP)模型经过修改和扩展,以便确定供暖、通风、空调、居住者着装决定和电动汽车充放电时间表的最佳设置点,同时考虑外部温度、光伏发电量和电动汽车的目的地SOC(arrival SOC)的不确定性。”

HEMS模拟
KSU的研究人员旨在通过一系列模拟,展示其所提出的模型如何在节约成本和舒适的前提下,使居住者受益。未来有可能将算法比较纳入其中。虽然此次研究只在一个地点进行模拟,但这种HEMS模型可有效应用于其他任何气候条件和电价结构不同的地点,以便深入进行此类模拟探讨。
通过运行模型,研究人员发现可节省68.5%的能耗。同时该HEMS模型综合考虑了居住者的理想舒适状态,包括热舒适度、服装行为和电动汽车的SOC问题;以及外部温度、光伏发电和电动汽车的目的地SOC等不确定性。

未来HEMS的影响
随着人们越来越多地采用光伏和电动汽车技术,并将其融入日常生活,找到提高能源效率的方法,具有重要意义。为了满足日益增长的电力需求,目前智能电网技术呈不均衡发展。在帮助了解家庭应用的能源需求方面,HEMS可以发挥核心作用。
现在全球电力需求不断增长,而且随着人口增多,城市和国家电网不断扩大规模,预计相关需求还将继续增长,行业人士将重点关注家庭能源管理系统概念。先进的HEMS不仅可以帮助住宅居住者节约成本,还可以根据房主的行为,准确地学习如何优化长短期能源储存和使用,进而帮助限制电网的能源需求。
(转载)



