1 引言
高压变频器应用中的设备散热和运行环境问题直接影响变频器自身的运行安全,随着变频器功率的不断提高,其辅助冷却的投资和运营成本也逐渐得到越来越多的重视。采用专业的高压变频器空-水冷却装置,提高设安全稳定性能,降低辅助冷却系统的运营成本,成为高压变频应用中需要考虑的重要问题之一。
下面就以高压变频器常见的房间空调冷却和专用的高压变频器空-水冷却装置进行经济性指标进行比较分析。
2 空调冷却经济性分析
2.1 冷却功率计算
以华能某电厂350mw机组一次风机高压变频器冷却为例。两台一次风机高压变频器功率分别为1600kw,安装在同一高压变频器室内,房屋面积为
按照南方气候,需要制冷量按180w/m2计算,房屋自冷损耗即需要:
qf =s×180=58.5×180≈10.53kw
式中:s-房屋面积
一次风机高压变频器额定发热总量:qb=p×4%=1600×4%×2=128kw
式中:p—高压变频器额定输出功率。则一次风机高压变频器室的有效制冷量至少需要:q=qb+qf=128+10.53=138.53kw
2.2 空调冷却耗电指标计算
根据上述计算,一次风机高压变频器室的有效需求冷量为138.53kw。考虑到高压变频器室的系统热交换效率不可能为1,亦即空调的冷量完全进入设备进行冷却实现100%交换。根据空调按照周边环境摆放的格局、送风距离、循环风速等因素,其系统效率值按70%的典型值核算制冷功率:
![]()
式中:η—效率
根据空调的选型规格和能效比参数,考虑到高压变频器不可能长期处于100%负载运行,因此选择12p空调设备,每台额定制冷量28kw。
空调数量:
![]()
即:如果实现一次风机高压变频器室的环境温度控制至少需要安装7台12p的空调设备。
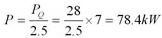
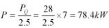
空调能效比=制冷量:网侧电耗=2.5
一次风机室采用空调冷却时,网侧单位功耗:
![]()
即:每天(24h)一次风机高压变频器室采用空调冷却的日耗电量为:1881.6kw·h。<br> 按照折合年机组有效运行210天,每年一次风机高压变频器室由于冷却需要消耗电能c=395136 kw·h,按电价0.37元/ kw·h计算,折合14.62万元。
按照一台12p空调2.5万元计算,采用空调冷却的设备总投资为17.5万元。
3 空一水冷却系统经济性分析
3.1 冷却功率计算
由上述计算可知:两台额定功率1600kw高压变频器的额定发热量为128kw。采用空-水冷却系统时,该系统将高压变频器排出的热风全部通过空-水冷却装置实现了热交换,然后将冷风排回室内,因此,其风路循环效率得到极大提高,风路循环效率接近99%。与空调冷却不同的是前者冷却房间后才能冷却设备,而后者则是通过吸收设备发热而达到高压变频器室内环境控制目的。其系统效率自然得到提高,而且避免了环境冷却所需的冷量消耗。
考虑到极限运行情况下的发热量,以及水温偏高、系统交换效率等因素,空冷器的设计裕度通常选择为1.15~1.2倍。即:空冷器的热交换功率不小于73.6kw/台,实际选用的空冷器功率为每台设备75kw。
3.2 空调冷却耗电指标计算
每台高压变频器所配的空-水冷却系统,主要耗电设备为一台2.2kw的增压风机。该设备与高压变频器柜顶的风机和空冷系统配置的风机为热备用结构型式运行。系统采用室内密闭式循环冷却,环境温度控制在
由于该系统利用机组闭式工业冷却水,实现热交换。冷却水循环利用,循环水量需求为36t/h每台机组。按照现场机组运行的循环水总量计算,该一次风系统水量使用比例占总量比重小于2%,因此循环泵功耗增加很小,可以忽略不计。
采用空-水冷却系统的单位总电耗4.4kw。每天(24h)两台机组的一次风机高压变频器室采用空水冷运行的日耗电量为:24×4.4=105.6kw·h。
按照折合年机组有效运行210天,每年一次风机高压变频器室由于冷却需要消耗电能c=22176 kw·h,按电价0.37元/kw·h计算,折合0.82万元。
按照每套75kw的空-水冷却系统9.7万元计算,采用空-水冷却的设备总投资为19.4万元。
4 经济性对比分析
通过上述数据计算,采用空-水冷却系统与常规空调冷却方式的经济性比对分析如下:
节电率:
![]()
式中p0即为一次风机室采用空调冷却时的网侧功耗p。
每年可节约电量:
q = qd-qb= 395136-22176=372960 kw.h
年可节约电费:m=q×n=372960×0.37=137995.2元,约合13.80万元。
即:采用空-水冷却系统实现一次风高压变频器冷却运行,较采用常规的空调冷却方式运行每年仅冷却部分的电耗即可节约13.8万元。在1.5年后即可收回设备投资成本,实现了高压变频器项目节能和辅助设备的节能运行。
5 结束语
华能某电厂350mw机组一次风机高压变频器室采用空-水冷却系统,除了可以带来直接的节能经济效益外,还会带来以下方面的经济收益:
(1) 采用新型冷却系统后,其高压变频器的设备冷却运营成本将比常规的空调冷却降低90%左右。运营成本只有空调冷却系统的10%。
(2) 由于新型冷却系统均采用密闭冷却结构设计,风路循环使用。具有粉尘小、环境稳定,受外界环境因素影响小等特点。除尘滤网的清洗周期可由原来的7~15天,延长到30~45天,大大减低维修维护人员的工作强度。
(3) 由于设备使用和运行数量降低,且空-水冷却系统主要是机械结构设备,其稳定性和安全性远高于空调制冷的电力电子设备。系统的安全性得到提高,从辅助设备上保障了机组运行的安全。
(4) 新型冷却系统在设计方面充分考虑了设备故障、热交换介质泄漏、风路应急旁路、操作简便性、可维护维修性等安全防护措施。与高压变频器设备整合运行,提高整体安全性能。
(5) 空-水冷却系统的使用寿命是空调设备的5~8倍,从而可以大大减少设备的维修维护费用。
综上所述,华能某电厂一次风机变频节能项目中采用节能、环保的空-水冷却系统是十分必要、切实可行的措施,项目具有明显的经济指标优异性,值得在高压变频应用行业大力推广使用,从而实现高压变频项目的全面节能。
(转载)



